Официальное опубликование правовых актов
ОФИЦИАЛЬНОЕ ОПУБЛИКОВАНИЕ
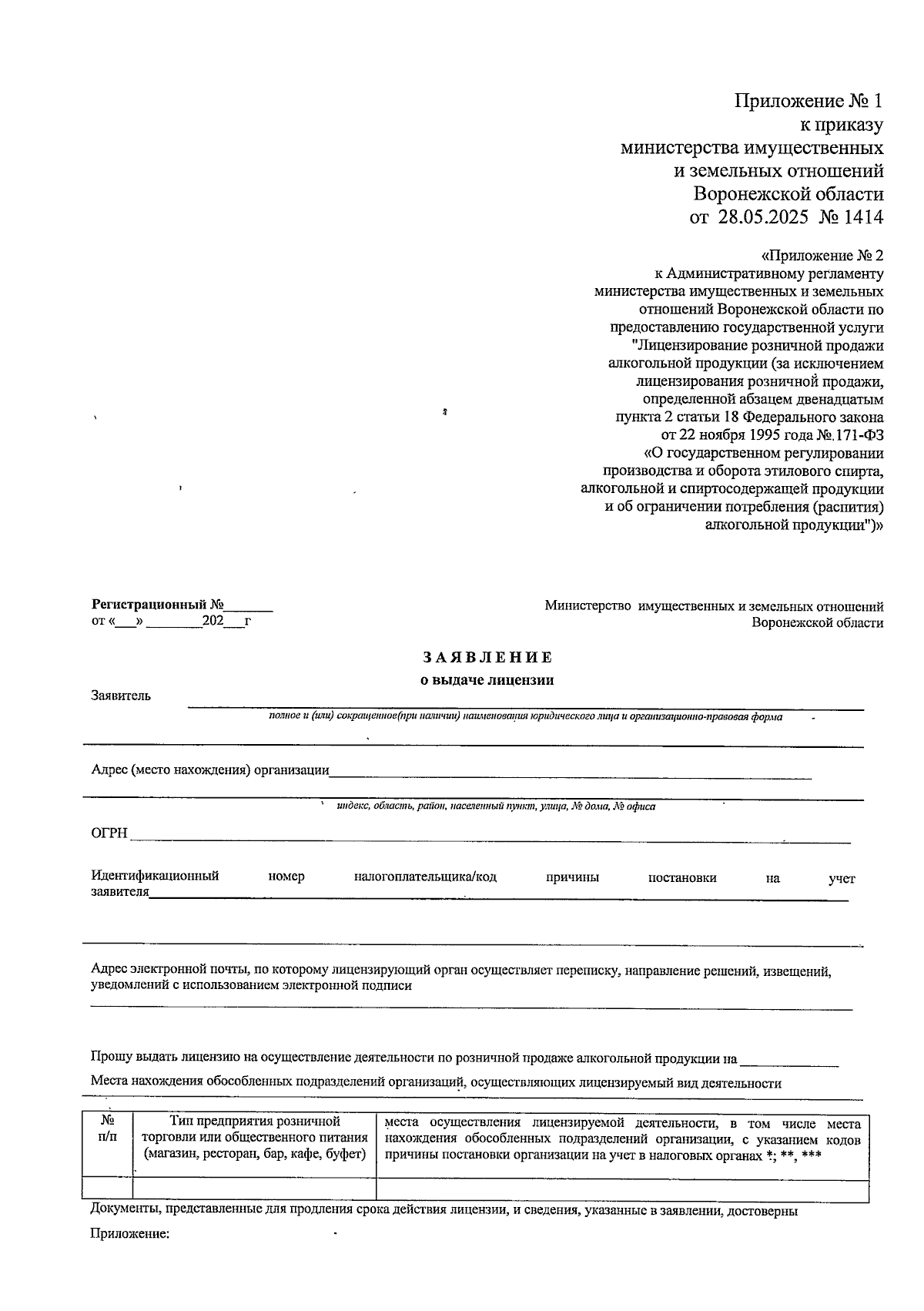
Приказ министерства имущественных и земельных отношений Воронежской области от 28.05.2025 № 1414
"О внесении изменений в приказ министерства имущественных и земельных отношений Воронежской области от 20.01.2025 № 88"
(Зарегистрирован 04.06.2025 № 623)
Номер опубликования: 3601202506060001
Дата опубликования: 06.06.2025
Страница №40 из 48:
Увеличить