Официальное опубликование правовых актов
ОФИЦИАЛЬНОЕ ОПУБЛИКОВАНИЕ
Приказ министерства природных ресурсов и экологии Воронежской области от 02.07.2025 № 283
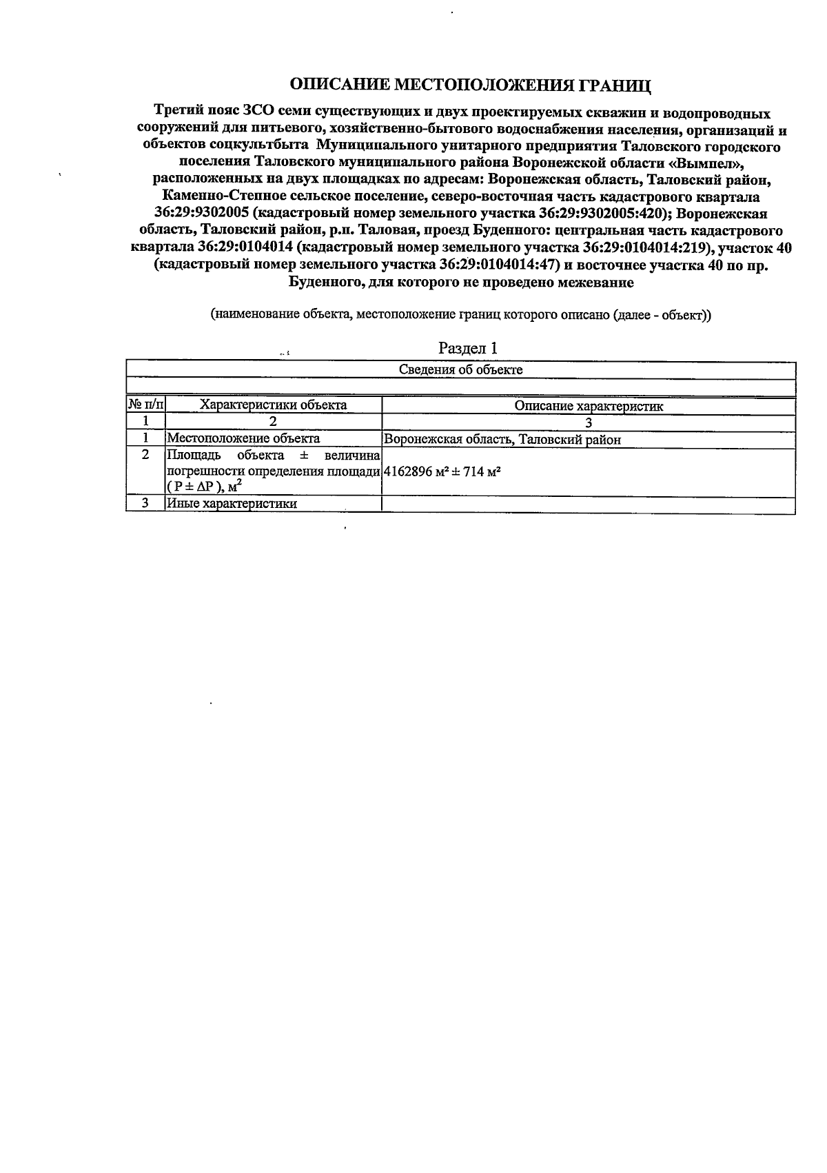
"Об установлении зон санитарной охраны семи существующих и двух проектируемых скважин и водопроводных сооружений для питьевого, хозяйственно-бытового водоснабжения населения, организаций и объектов соцкультбыта Муниципального унитарного предприятия Таловского городского поселения Таловского муниципального района Воронежской области "Вымпел"
(Зарегистрирован 17.07.2025 № 766)
Номер опубликования: 3601202507220001
Дата опубликования: 22.07.2025
Страница №20 из 23:
Увеличить