Официальное опубликование правовых актов
ОФИЦИАЛЬНОЕ ОПУБЛИКОВАНИЕ
Приказ министерства архитектуры и градостроительства Воронежской области от 02.07.2025 № 45-01-04/314
"О внесении изменений в правила землепользования и застройки Троицкого сельского поселения Лискинского муниципального района Воронежской области"
(Зарегистрирован 24.07.2025 № 778)
Номер опубликования: 3601202507250006
Дата опубликования: 25.07.2025
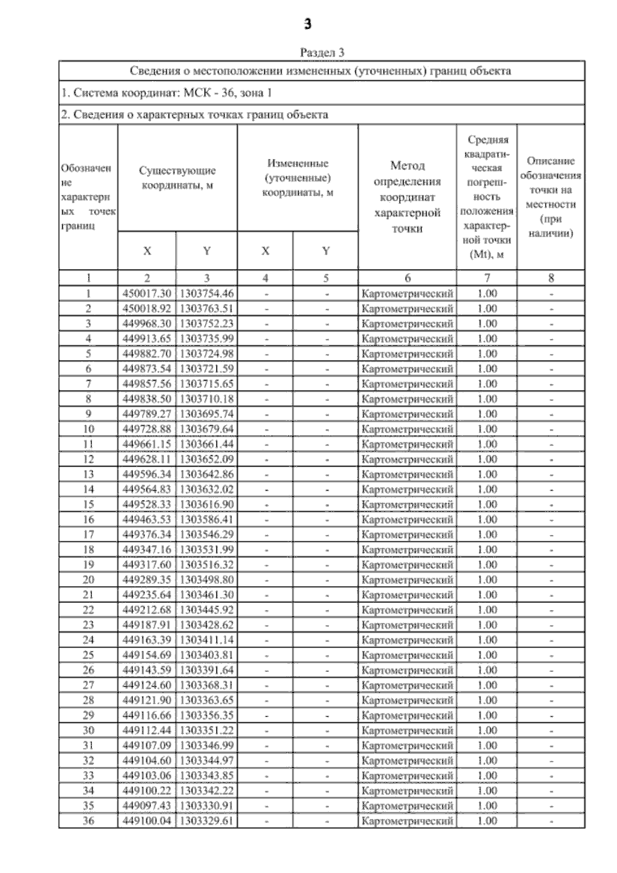
Страница №27 из 34:
Увеличить