Официальное опубликование правовых актов
ОФИЦИАЛЬНОЕ ОПУБЛИКОВАНИЕ
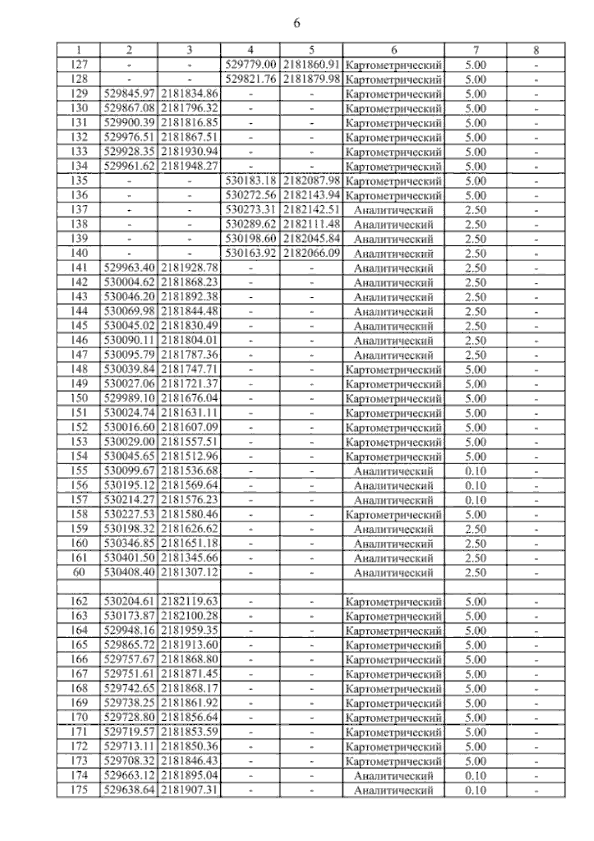
Приказ министерства архитектуры и градостроительства Воронежской области от 21.07.2025 № 45-01-04/343
"О внесении изменений в правила землепользования и застройки Щучинского сельского поселения Эртильского муниципального района Воронежской области"
(Зарегистрирован 12.08.2025 № 859)
Номер опубликования: 3601202508150001
Дата опубликования: 15.08.2025
Страница №102 из 129:
Увеличить