Официальное опубликование правовых актов
ОФИЦИАЛЬНОЕ ОПУБЛИКОВАНИЕ
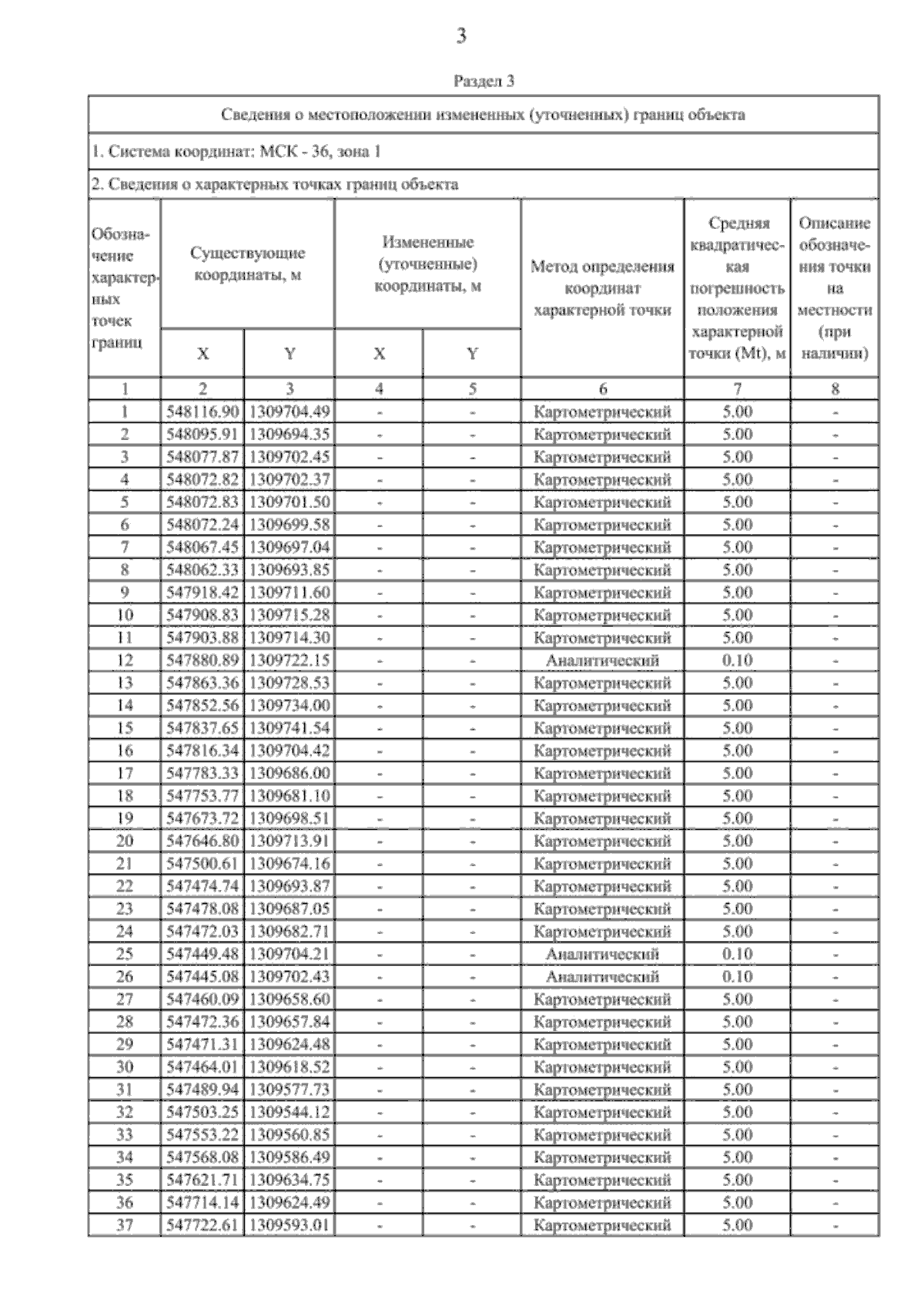
Приказ министерства архитектуры и градостроительства Воронежской области от 21.07.2025 № 45-01-04/341
"О внесении изменений в правила землепользования и застройки Берёзовского сельского поселения Рамонского муниципального района Воронежской области"
(Зарегистрирован 12.08.2025 № 858)
Номер опубликования: 3601202508150002
Дата опубликования: 15.08.2025
Страница №23 из 66:
Увеличить