Официальное опубликование правовых актов
ОФИЦИАЛЬНОЕ ОПУБЛИКОВАНИЕ
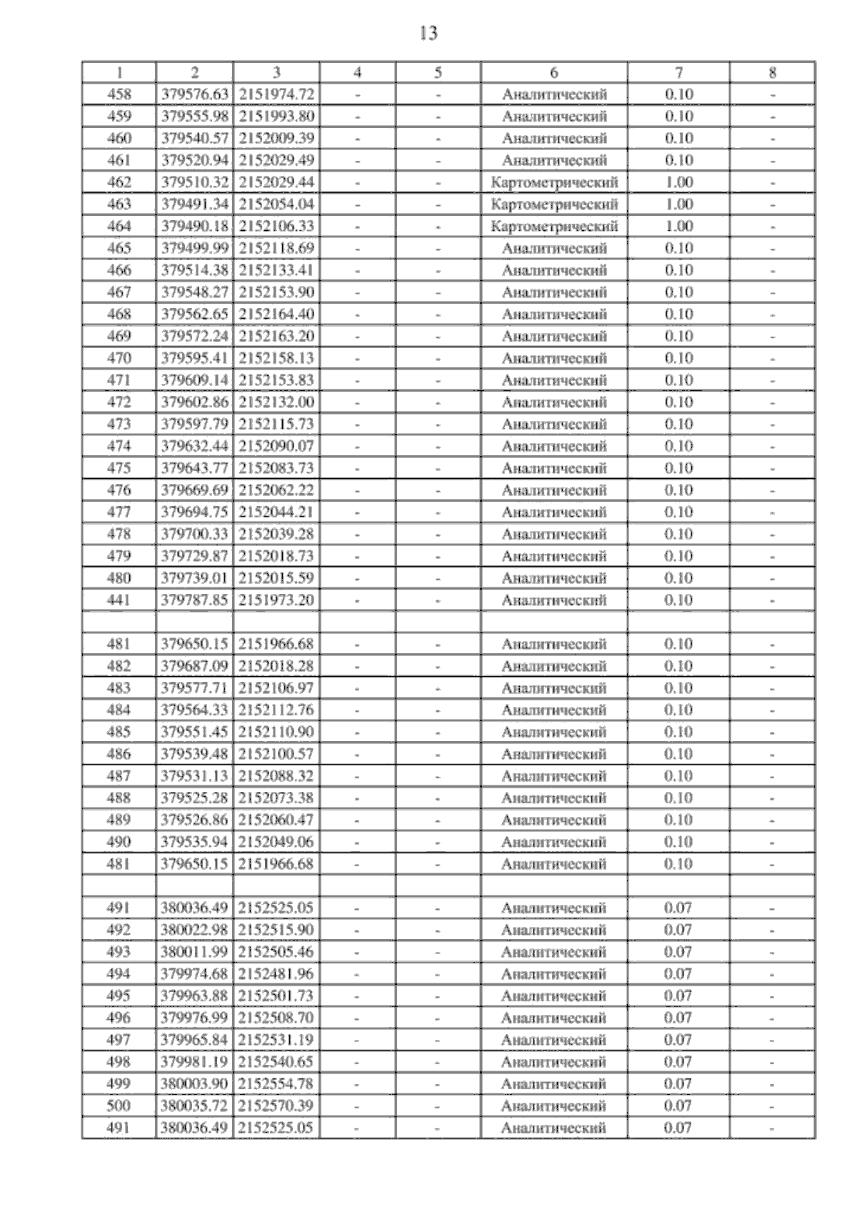
Приказ министерства архитектуры и градостроительства Воронежской области от 22.07.2025 № 45-01-04/347
"О внесении изменений в правила землепользования и застройки городского поселения - город Павловск Павловского муниципального района Воронежской области"
(Зарегистрирован 15.08.2025 № 863)
Номер опубликования: 3601202508180001
Дата опубликования: 18.08.2025
Страница №106 из 122:
Увеличить