Официальное опубликование правовых актов
ОФИЦИАЛЬНОЕ ОПУБЛИКОВАНИЕ
Приказ министерства архитектуры и градостроительства Воронежской области от 21.07.2025 № 45-01-04/346
"О внесении изменений в правила землепользования и застройки Болдыревского сельского поселения Острогожского муниципального района Воронежской области"
(Зарегистрирован 15.08.2025 № 862)
Номер опубликования: 3601202508180002
Дата опубликования: 18.08.2025
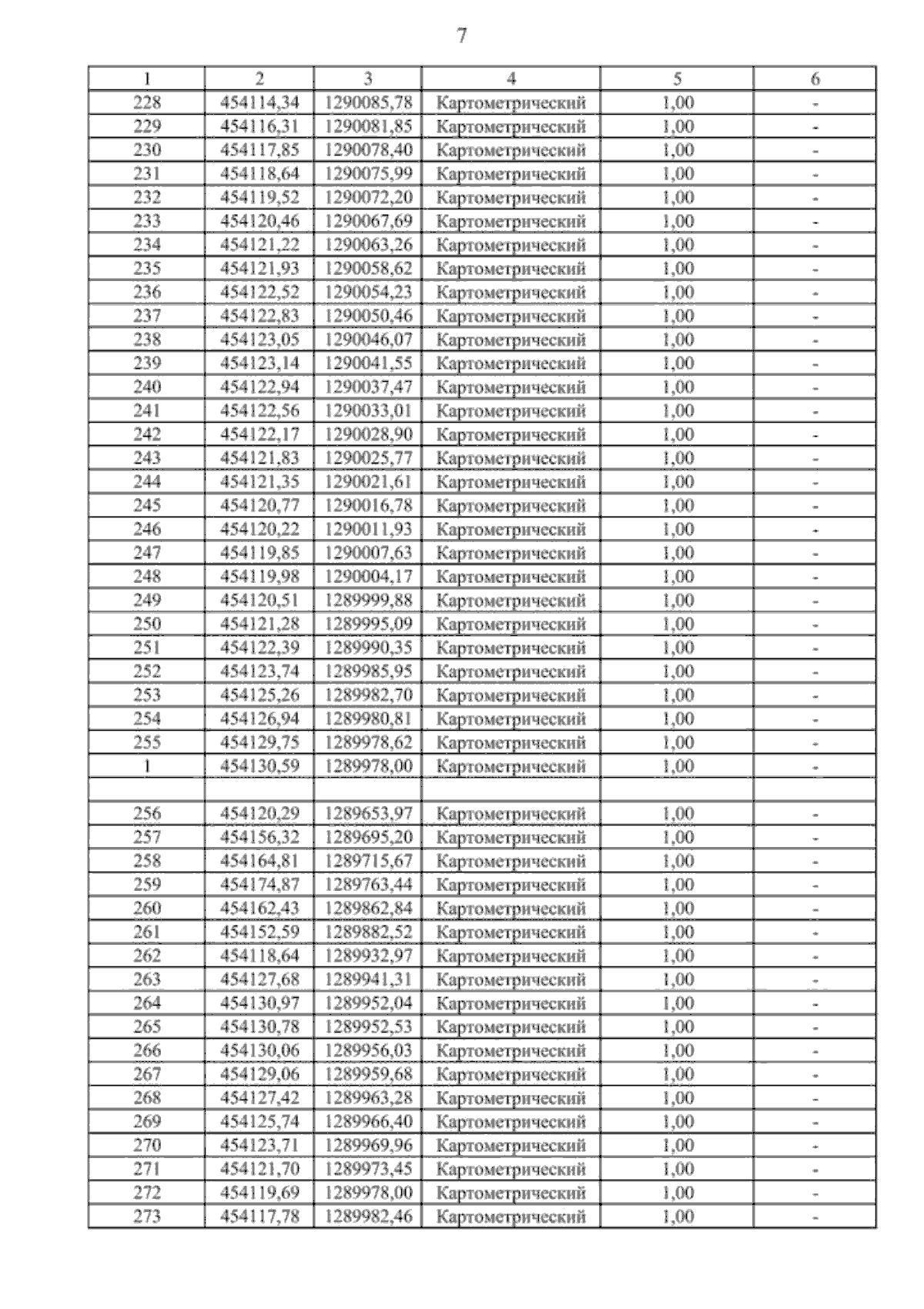
Страница №15 из 32:
Увеличить