Официальное опубликование правовых актов
ОФИЦИАЛЬНОЕ ОПУБЛИКОВАНИЕ
Приказ министерства архитектуры и градостроительства Воронежской области от 01.08.2025 № 45-01-04/366
"О внесении изменений в правила землепользования и застройки Шубинского сельского поселения Острогожского муниципального района Воронежской области"
(Зарегистрирован 19.08.2025 № 875)
Номер опубликования: 3601202508200021
Дата опубликования: 20.08.2025
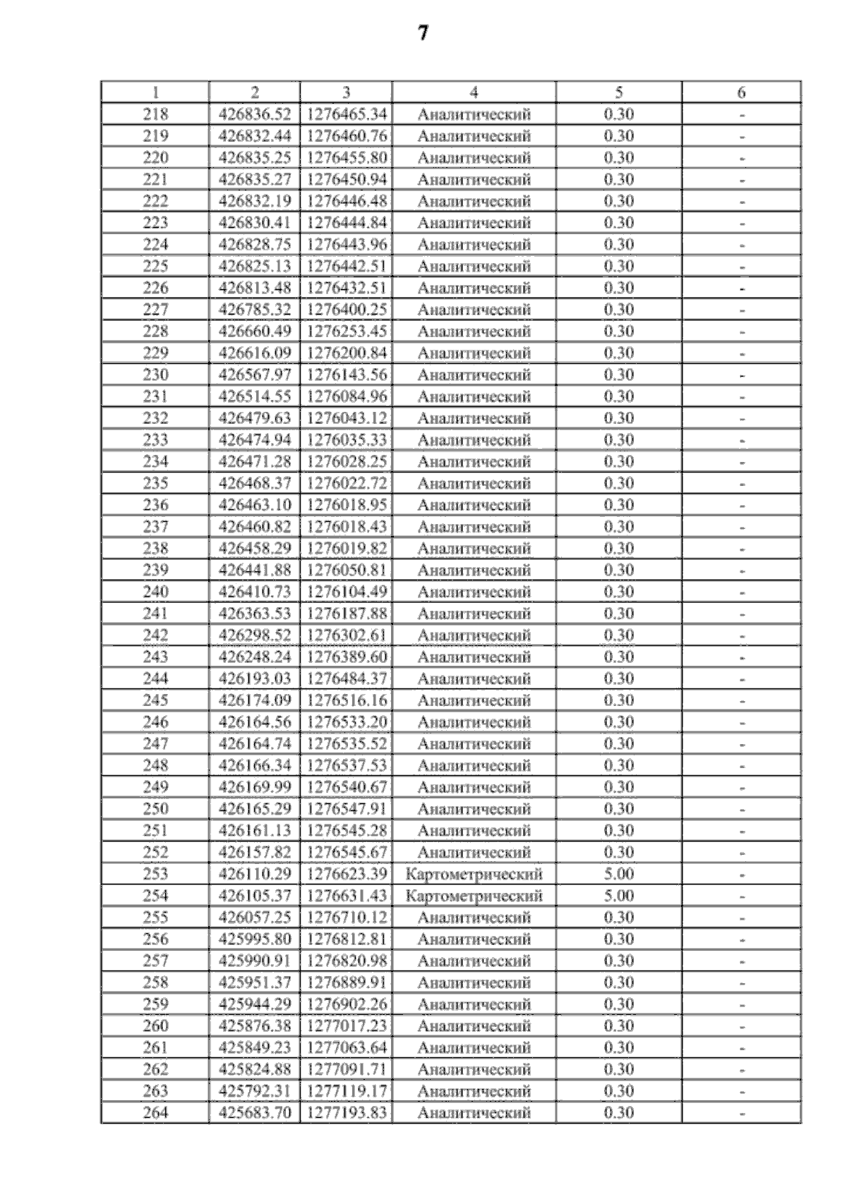
Страница №47 из 72:
Увеличить