Официальное опубликование правовых актов
ОФИЦИАЛЬНОЕ ОПУБЛИКОВАНИЕ
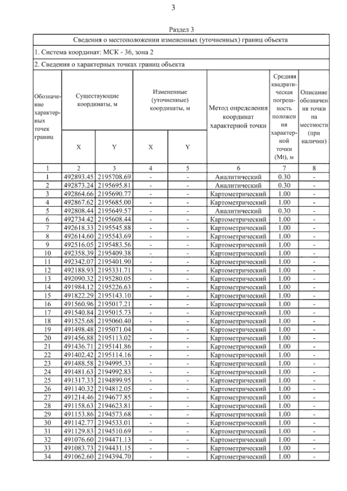
Приказ министерства архитектуры и градостроительства Воронежской области от 08.09.2025 № 45-01-04/458
"О внесении изменений в правила землепользования и застройки Хлебородненского сельского поселения Аннинского муниципального района Воронежской области"
(Зарегистрирован 26.09.2025 № 1058)
Номер опубликования: 3601202509300002
Дата опубликования: 30.09.2025
Страница №10 из 16:
Увеличить