Официальное опубликование правовых актов
ОФИЦИАЛЬНОЕ ОПУБЛИКОВАНИЕ
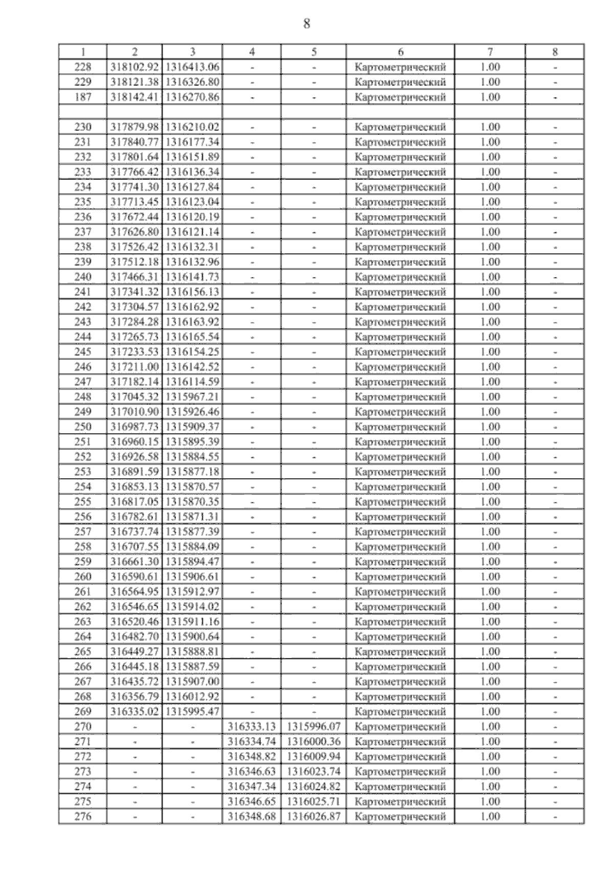
Приказ министерства архитектуры и градостроительства Воронежской области от 09.09.2025 № 45-01-04/473
"О внесении изменений в правила землепользования и застройки Жилинского сельского поселения Россошанского муниципального района Воронежской области"
(Зарегистрирован 29.09.2025 № 1079)
Номер опубликования: 3601202510010001
Дата опубликования: 01.10.2025
Страница №37 из 43:
Увеличить