Официальное опубликование правовых актов
ОФИЦИАЛЬНОЕ ОПУБЛИКОВАНИЕ
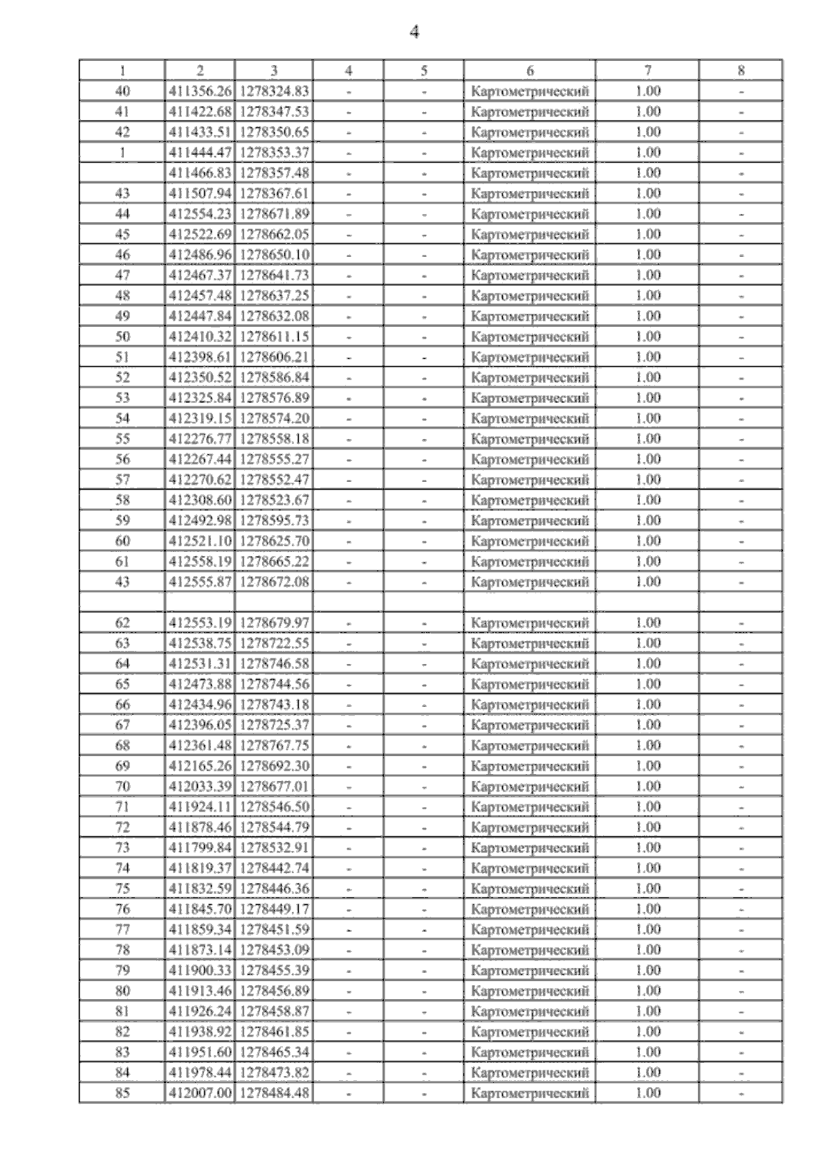
Приказ министерства архитектуры и градостроительства Воронежской области от 09.09.2025 № 45-01-04/474
"О внесении изменений в правила землепользования и застройки Ольшанского сельского поселения Острогожского муниципального района Воронежской области"
(Зарегистрирован 29.09.2025 № 1080)
Номер опубликования: 3601202510010003
Дата опубликования: 01.10.2025
Страница №9 из 16:
Увеличить