Официальное опубликование правовых актов
ОФИЦИАЛЬНОЕ ОПУБЛИКОВАНИЕ
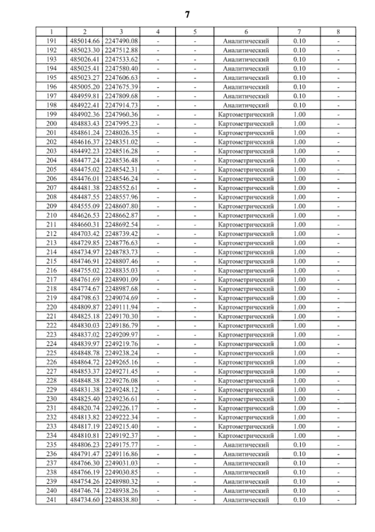
Приказ министерства архитектуры и градостроительства Воронежской области от 12.09.2025 № 45-01-04/492
"О внесении изменений в правила землепользования и застройки Листопадовского сельского поселения Грибановского муниципального района Воронежской области"
(Зарегистрирован 06.10.2025 № 1105)
Номер опубликования: 3601202510070011
Дата опубликования: 07.10.2025
Страница №38 из 79:
Увеличить