Официальное опубликование правовых актов
ОФИЦИАЛЬНОЕ ОПУБЛИКОВАНИЕ
Приказ министерства архитектуры и градостроительства Воронежской области от 11.09.2025 № 45-01-04/484
"О внесении изменений в правила землепользования и застройки Запрудского сельского поселения Каширского муниципального района Воронежской области"
(Зарегистрирован 06.10.2025 № 1098)
Номер опубликования: 3601202510070014
Дата опубликования: 07.10.2025
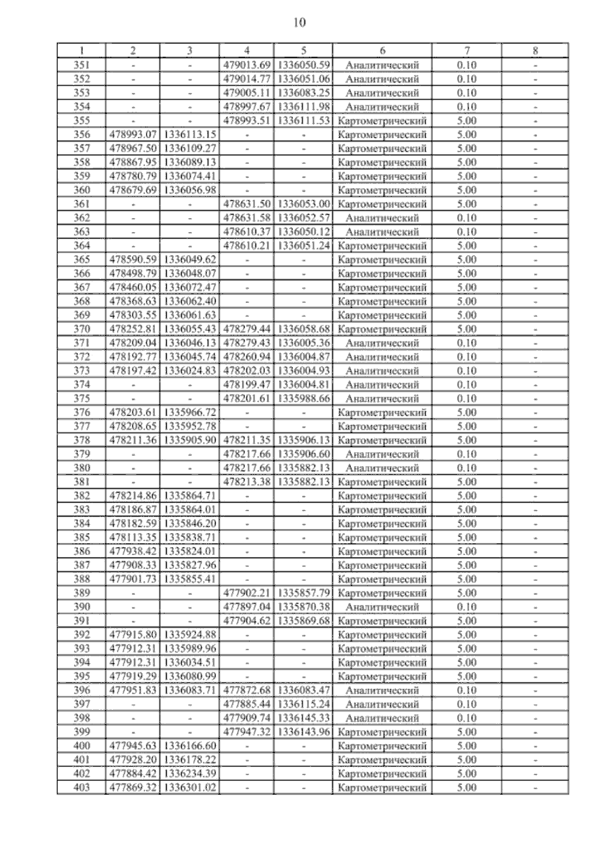
Страница №20 из 46:
Увеличить