Официальное опубликование правовых актов
ОФИЦИАЛЬНОЕ ОПУБЛИКОВАНИЕ
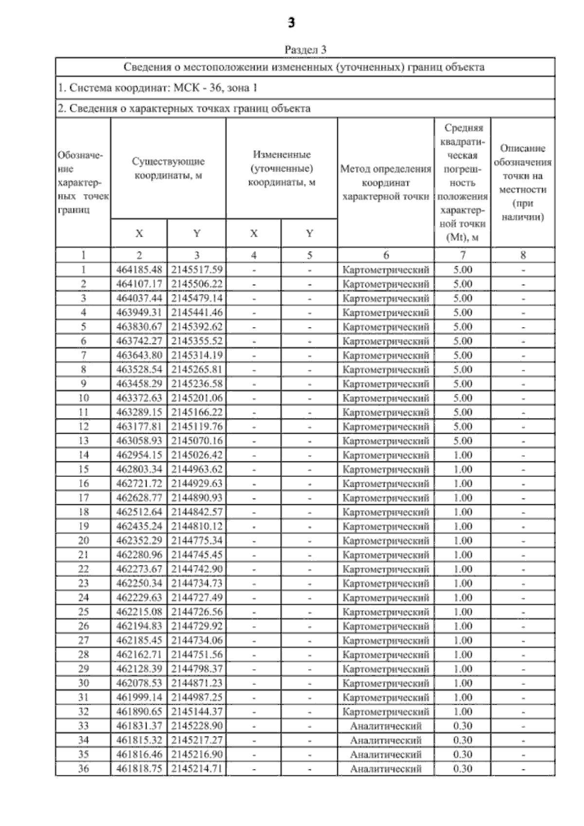
Приказ министерства архитектуры и градостроительства Воронежской области от 12.09.2025 № 45-01-04/486
"О внесении изменений в правила землепользования и застройки Сухо-Берёзовского сельского поселения Бобровского муниципального района Воронежской области"
(Зарегистрирован 06.10.2025 № 1099)
Номер опубликования: 3601202510070015
Дата опубликования: 07.10.2025
Страница №10 из 16:
Увеличить