Официальное опубликование правовых актов
ОФИЦИАЛЬНОЕ ОПУБЛИКОВАНИЕ
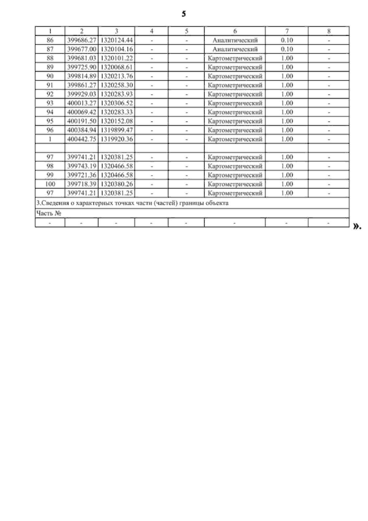
Приказ министерства архитектуры и градостроительства Воронежской области от 12.09.2025 № 45-01-04/487
"О внесении изменений в правила землепользования и застройки Трехстенского сельского поселения Каменского муниципального района Воронежской области"
(Зарегистрирован 06.10.2025 № 1100)
Номер опубликования: 3601202510070016
Дата опубликования: 07.10.2025
Страница №22 из 22:
Увеличить