Официальное опубликование правовых актов
ОФИЦИАЛЬНОЕ ОПУБЛИКОВАНИЕ
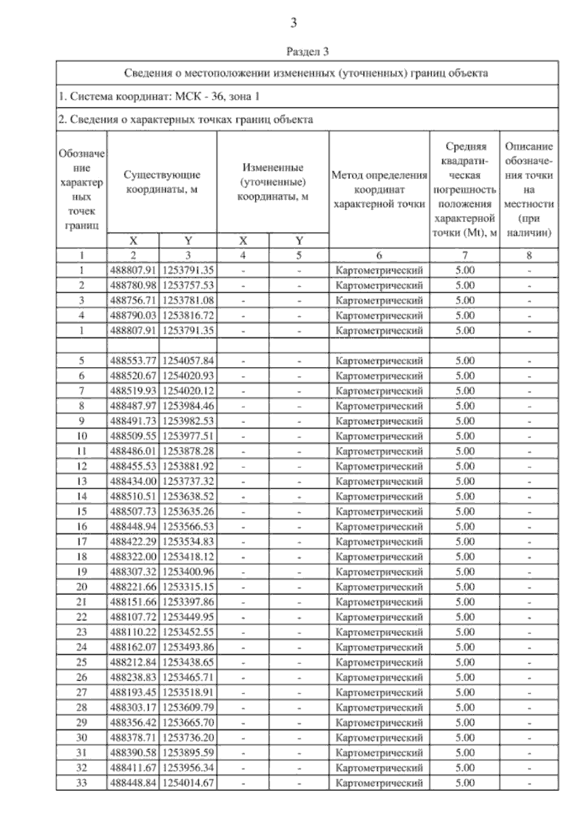
Приказ министерства архитектуры и градостроительства Воронежской области от 12.09.2025 № 45-01-04/491
"О внесении изменений в правила землепользования и застройки Михневского сельского поселения Нижнедевицкого муниципального района Воронежской области"
(Зарегистрирован 06.10.2025 № 1104)
Номер опубликования: 3601202510070020
Дата опубликования: 07.10.2025
Страница №41 из 49:
Увеличить