Официальное опубликование правовых актов
ОФИЦИАЛЬНОЕ ОПУБЛИКОВАНИЕ
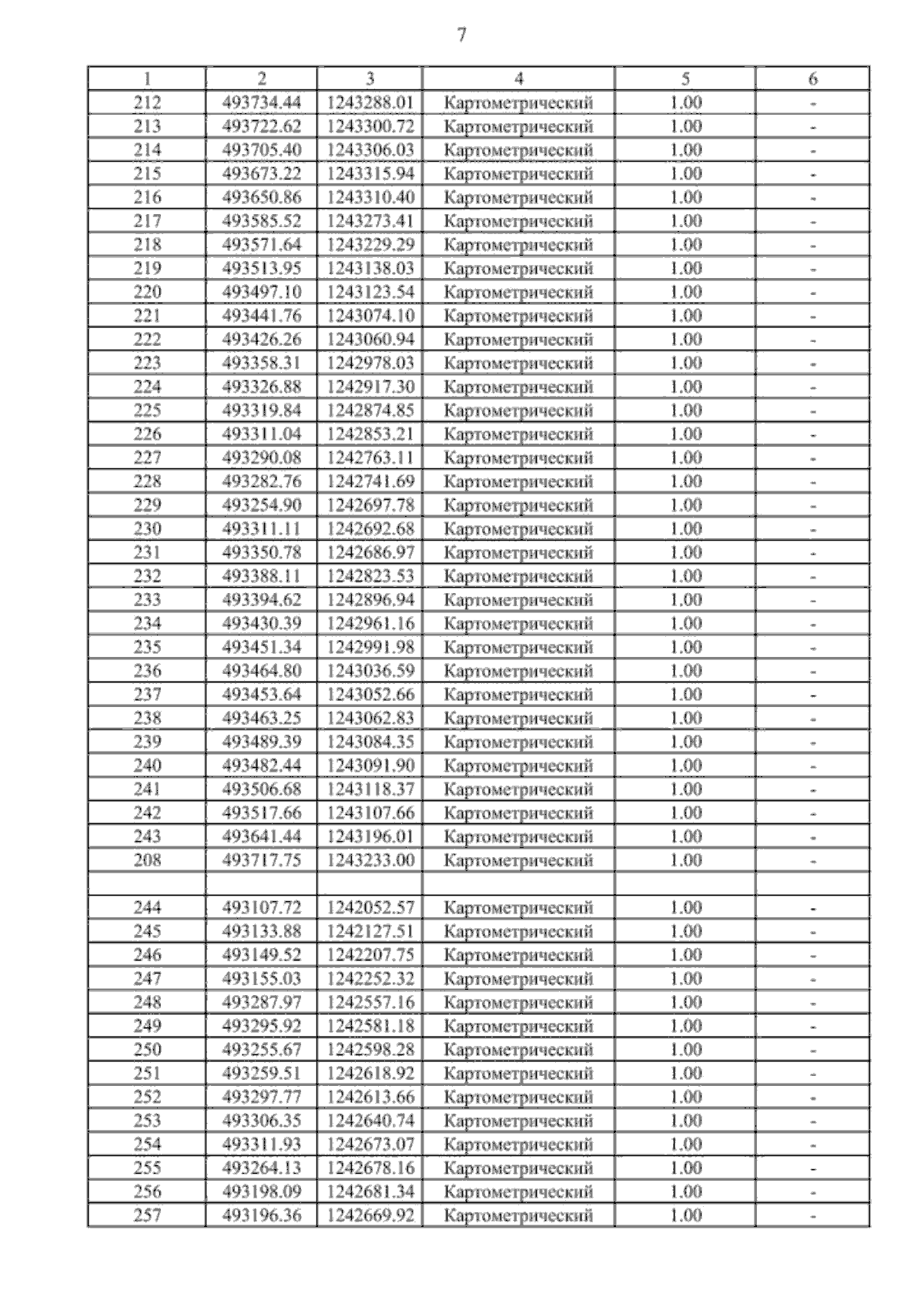
Приказ министерства архитектуры и градостроительства Воронежской области от 17.09.2025 № 45-01-04/497
"О внесении изменений в правила землепользования и застройки Першинского сельского поселения Нижнедевицкого муниципального района Воронежской области"
(Зарегистрирован 07.10.2025 № 1122)
Номер опубликования: 3601202510080002
Дата опубликования: 08.10.2025
Страница №36 из 44:
Увеличить