Официальное опубликование правовых актов
ОФИЦИАЛЬНОЕ ОПУБЛИКОВАНИЕ
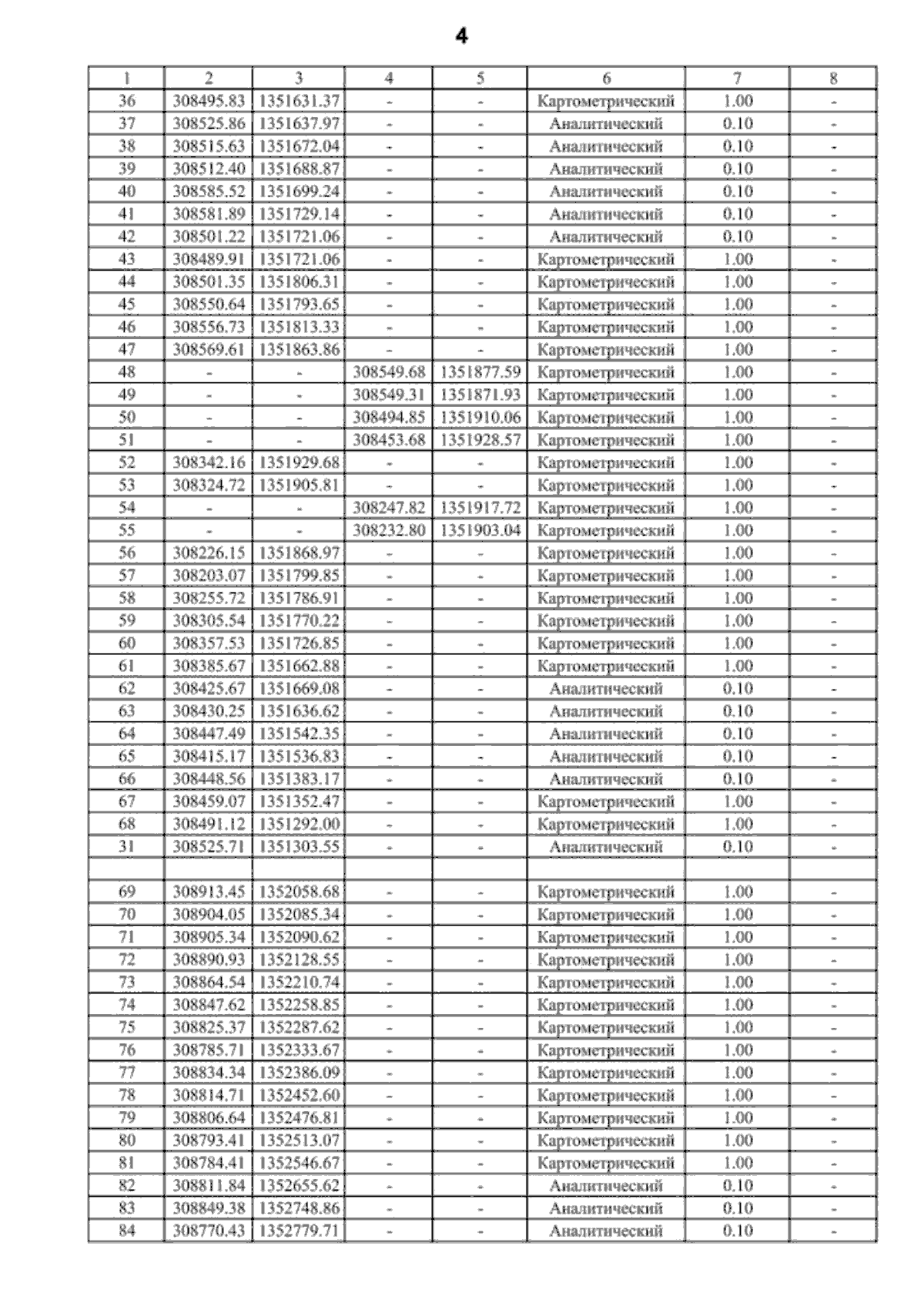
Приказ министерства архитектуры и градостроительства Воронежской области от 17.09.2025 № 45-01-04/498
"О внесении изменений в правила землепользования и застройки Смаглеевского сельского поселения Кантемировского муниципального района Воронежской области"
(Зарегистрирован 08.10.2025 № 1139)
Номер опубликования: 3601202510090003
Дата опубликования: 09.10.2025
Страница №11 из 59:
Увеличить