Официальное опубликование правовых актов
ОФИЦИАЛЬНОЕ ОПУБЛИКОВАНИЕ
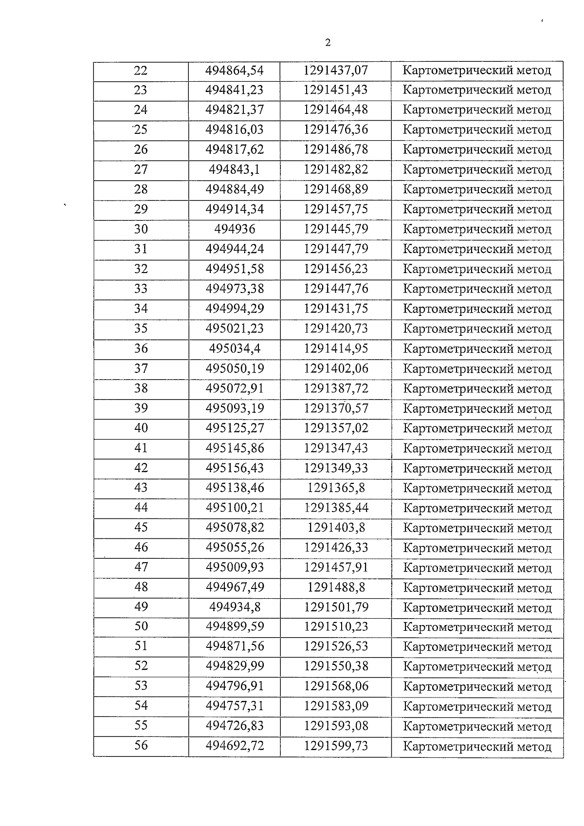
Приказ министерства природных ресурсов и экологии Воронежской области от 29.09.2025 № 405
"Об утверждении описания местоположения береговой линии (границы водного объекта) озера Донище на территории Хохольского муниципального района Воронежской области"
(Зарегистрирован 08.10.2025 № 1137)
Номер опубликования: 3601202510090005
Дата опубликования: 09.10.2025
Страница №4 из 9:
Увеличить