Официальное опубликование правовых актов
ОФИЦИАЛЬНОЕ ОПУБЛИКОВАНИЕ
Приказ министерства архитектуры и градостроительства Воронежской области от 18.09.2025 № 45-01-04/508
"О внесении изменений в правила землепользования и застройки Петинского сельского поселения Хохольского муниципального района Воронежской области"
(Зарегистрирован 08.10.2025 № 1148)
Номер опубликования: 3601202510090014
Дата опубликования: 09.10.2025
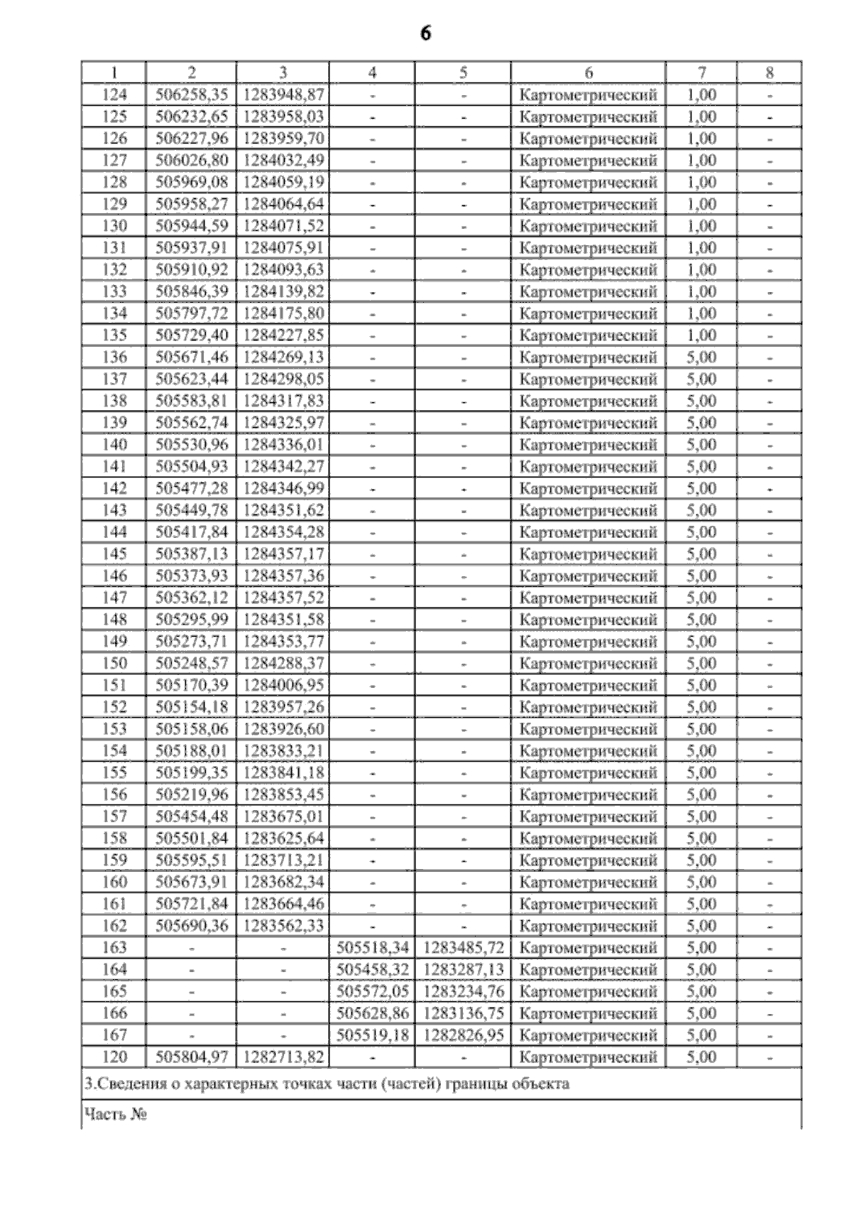
Страница №13 из 50:
Увеличить