Официальное опубликование правовых актов
ОФИЦИАЛЬНОЕ ОПУБЛИКОВАНИЕ
Приказ министерства архитектуры и градостроительства Воронежской области от 17.09.2025 № 45-01-04/501
"О внесении изменений в правила землепользования и застройки Бутурлиновского городского поселения Бутурлиновского муниципального района Воронежской области"
(Зарегистрирован 08.10.2025 № 1142)
Номер опубликования: 3601202510100003
Дата опубликования: 10.10.2025
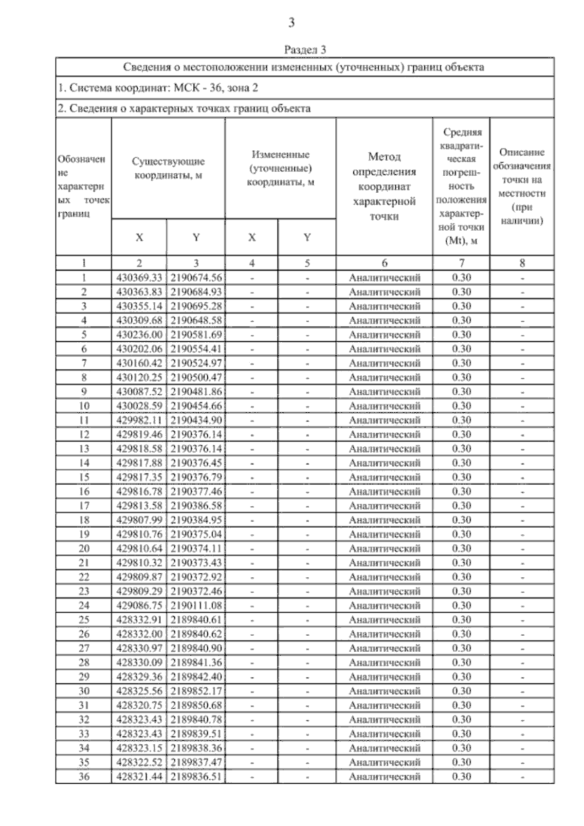
Страница №290 из 310:
Увеличить