Официальное опубликование правовых актов
ОФИЦИАЛЬНОЕ ОПУБЛИКОВАНИЕ
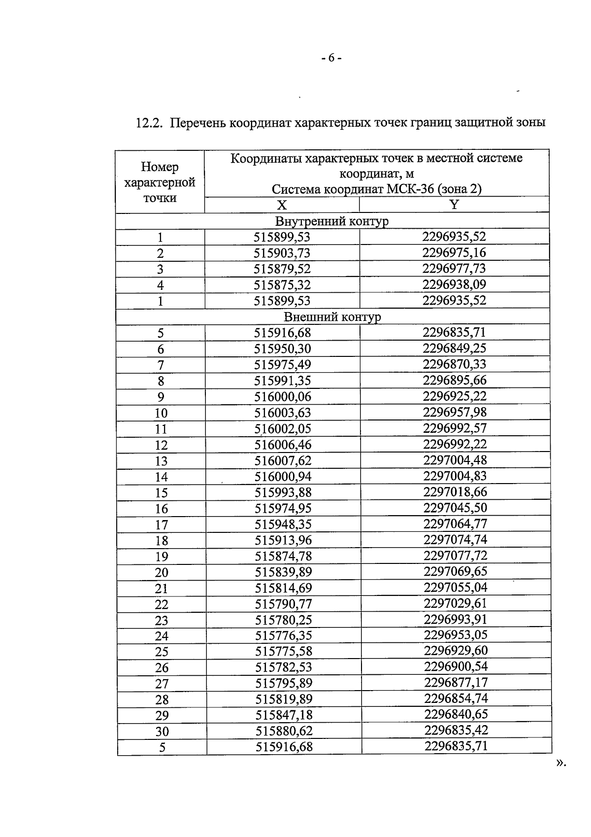
Приказ управления по охране объектов культурного наследия Воронежской области от 23.10.2025 № 71-01-05/184
"О внесении изменения в приказ управления по охране объектов культурного наследия Воронежской области от 10.09.2019 № 71-01-07/219"
(Зарегистрирован 06.11.2025 № 1255)
Номер опубликования: 3601202511100007
Дата опубликования: 10.11.2025
Страница №6 из 7:
Увеличить