Официальное опубликование правовых актов
ОФИЦИАЛЬНОЕ ОПУБЛИКОВАНИЕ
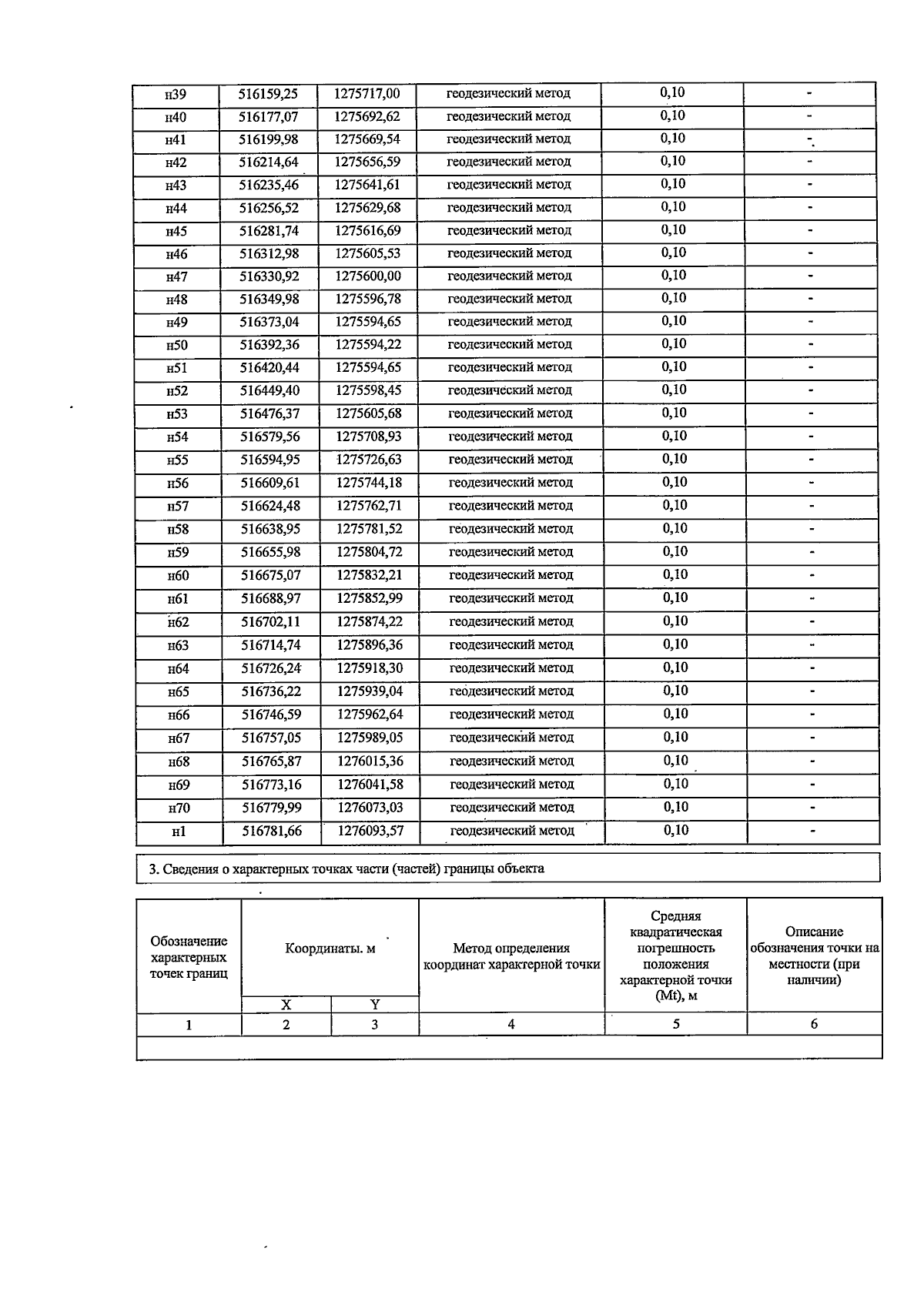
Приказ министерства природных ресурсов и экологии Воронежской области от 10.11.2025 № 464
"Об установлении зон санитарной охраны шести существующих скважин для питьевого, хозяйственно-бытового и технологического водоснабжения ООО "Родина"
(Зарегистрирован 21.11.2025 № 1310)
Номер опубликования: 3601202511270008
Дата опубликования: 27.11.2025
Страница №13 из 18:
Увеличить