Официальное опубликование правовых актов
ОФИЦИАЛЬНОЕ ОПУБЛИКОВАНИЕ
Приказ министерства природных ресурсов и экологии Воронежской области от 10.11.2025 № 461
"О внесении изменений в приказ департамента природных ресурсов и экологии Воронежской области от 12.11.2020 № 527"
(Зарегистрирован 21.11.2025 № 1307)
Номер опубликования: 3601202511270009
Дата опубликования: 27.11.2025
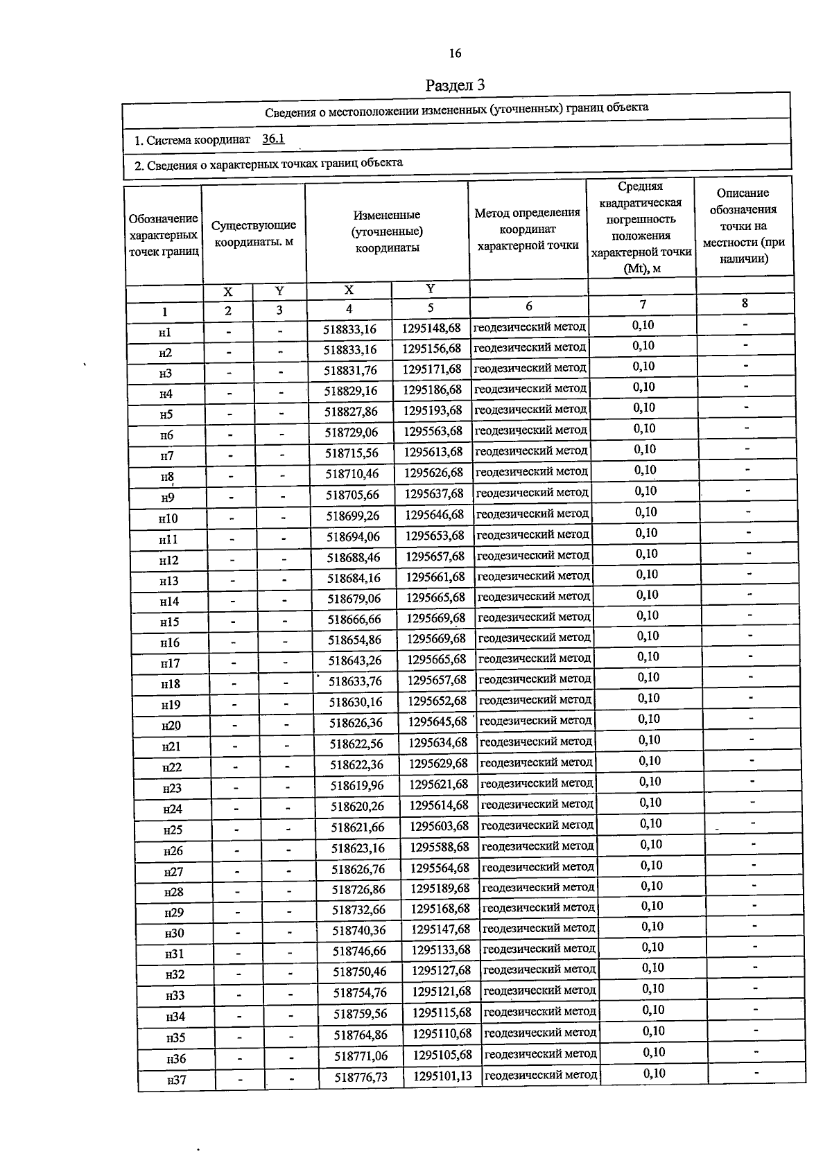
Страница №16 из 17:
Увеличить