Официальное опубликование правовых актов
ОФИЦИАЛЬНОЕ ОПУБЛИКОВАНИЕ
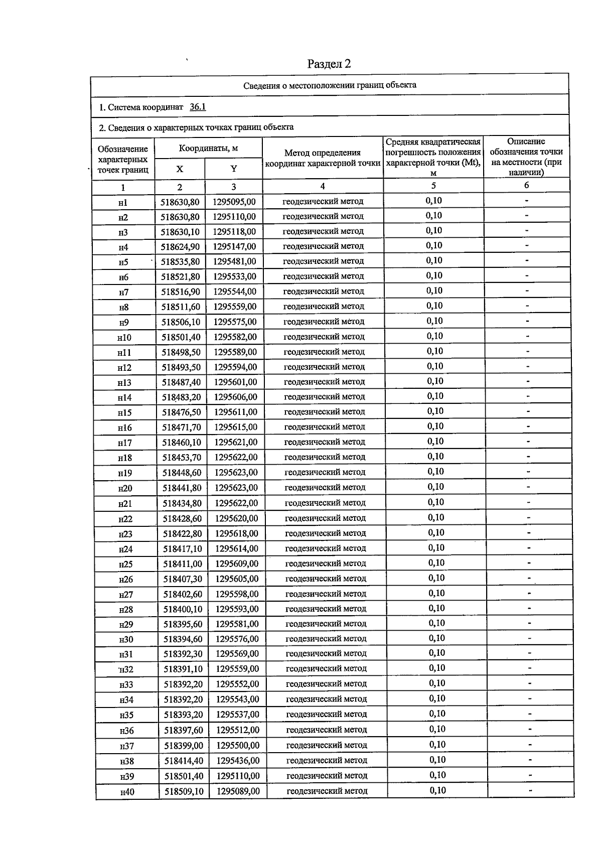
Приказ министерства природных ресурсов и экологии Воронежской области от 10.11.2025 № 462
"Об установлении зон санитарной охраны одной существующей водозаборной скважины № 1П/09 для питьевого, хозяйственно-бытового и технологического водоснабжения ООО предприятие "ИП К.И.Т."
(Зарегистрирован 21.11.2025 № 1308)
Номер опубликования: 3601202511270010
Дата опубликования: 27.11.2025
Страница №16 из 18:
Увеличить