Официальное опубликование правовых актов
ОФИЦИАЛЬНОЕ ОПУБЛИКОВАНИЕ
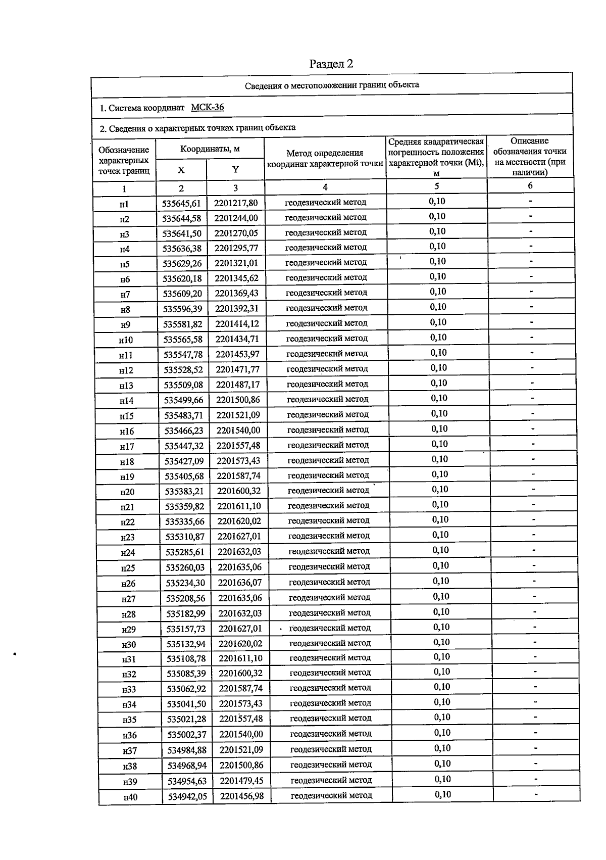
Приказ министерства природных ресурсов и экологии Воронежской области от 10.11.2025 № 463
"Об установлении зон санитарной охраны существующих скважин № 4, № 5 для питьевого, хозяйственно-бытового и технологического водоснабжения ООО "Благо-Эртиль"
(Зарегистрирован 21.11.2025 № 1309)
Номер опубликования: 3601202511270011
Дата опубликования: 27.11.2025
Страница №16 из 19:
Увеличить