Официальное опубликование правовых актов
ОФИЦИАЛЬНОЕ ОПУБЛИКОВАНИЕ
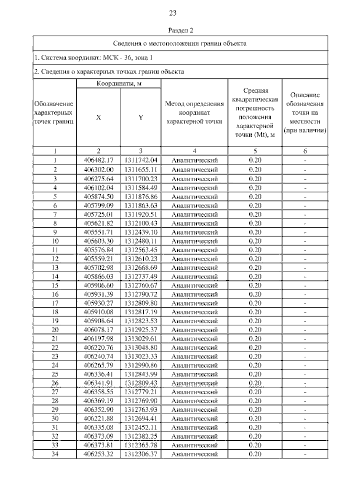
Приказ министерства архитектуры и градостроительства Воронежской области от 21.11.2025 № 45-01-04/556
"О внесении изменений в правила землепользования и застройки Тхоревского сельского поселения Каменского муниципального района Воронежской области"
(Зарегистрирован 19.12.2025 № 1556)
Номер опубликования: 3601202512220033
Дата опубликования: 22.12.2025
Страница №134 из 136:
Увеличить