Официальное опубликование правовых актов
ОФИЦИАЛЬНОЕ ОПУБЛИКОВАНИЕ
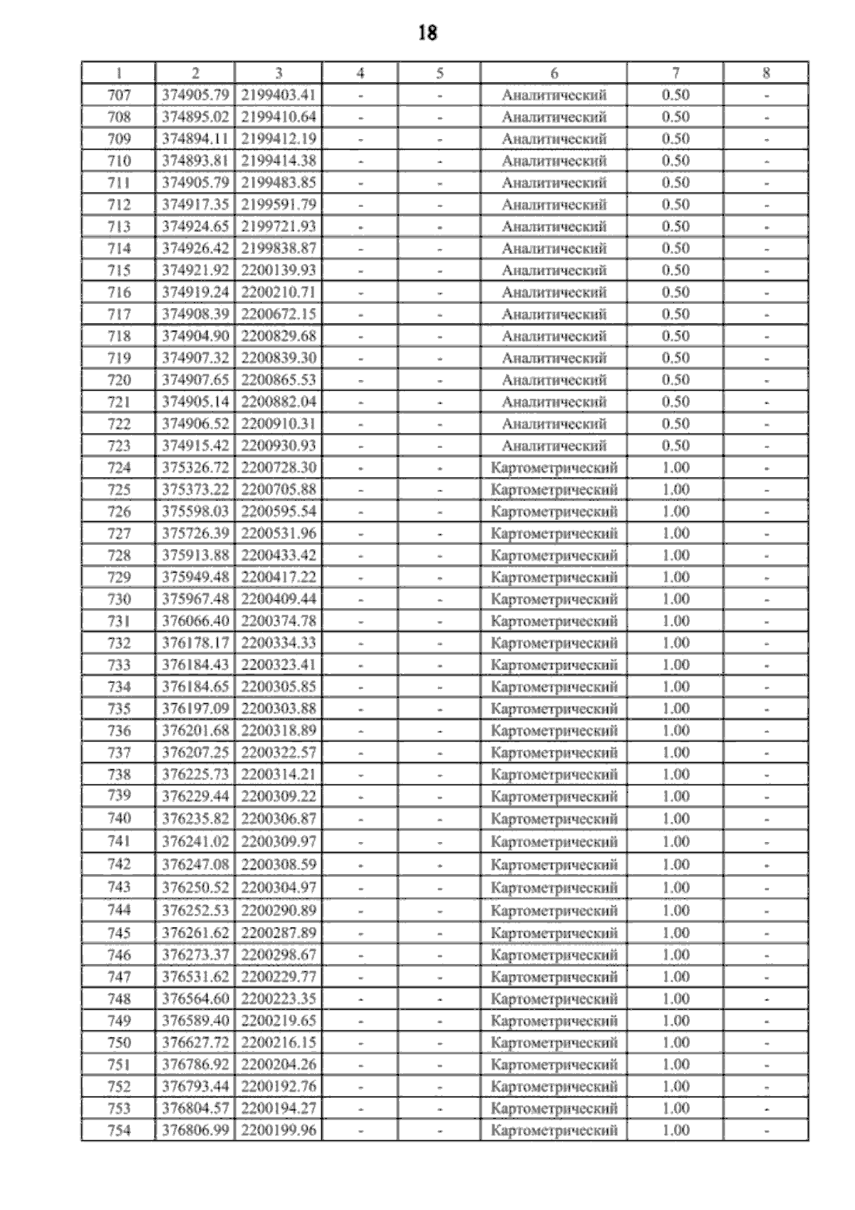
Приказ министерства архитектуры и градостроительства Воронежской области от 21.11.2025 № 45-01-04/557
"О внесении изменений в правила землепользования и застройки Меловатского сельского поселения Калачеевского муниципального района Воронежской области"
(Зарегистрирован 23.12.2025 № 1615)
Номер опубликования: 3601202512250079
Дата опубликования: 25.12.2025
Страница №56 из 68:
Увеличить