Официальное опубликование правовых актов
ОФИЦИАЛЬНОЕ ОПУБЛИКОВАНИЕ
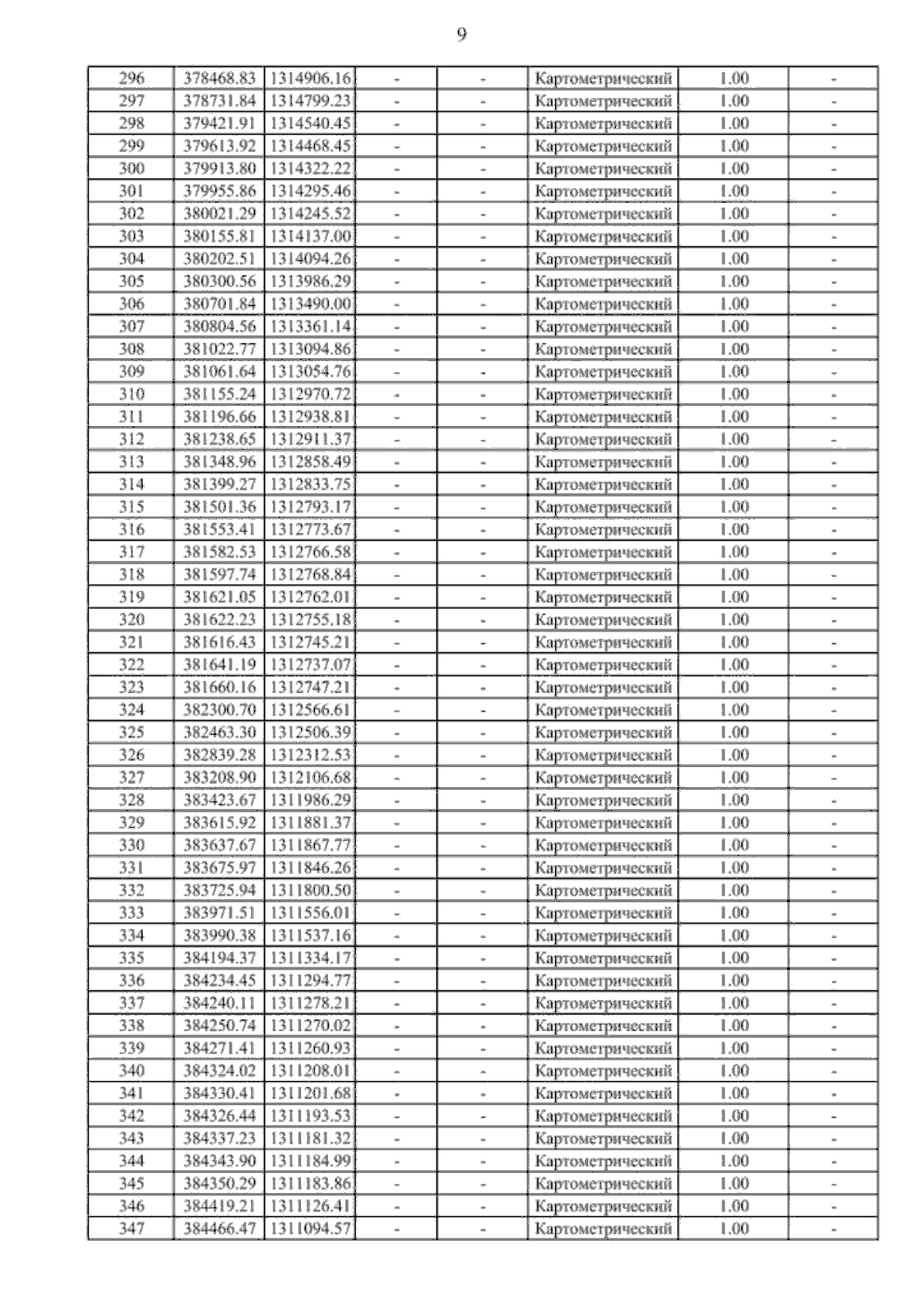
Приказ министерства архитектуры и градостроительства Воронежской области от 11.12.2025 № 45-01-04/584
"О внесении изменений в правила землепользования и застройки Гришевского сельского поселения Подгоренского муниципального района Воронежской области"
(Зарегистрирован 24.12.2025 № 1699)
Номер опубликования: 3601202512290011
Дата опубликования: 29.12.2025
Страница №15 из 22:
Увеличить