Официальное опубликование правовых актов
ОФИЦИАЛЬНОЕ ОПУБЛИКОВАНИЕ
Приказ министерства архитектуры и градостроительства Воронежской области от 11.12.2025 № 45-01-04/583
"О внесении изменений в правила землепользования и застройки Чесменского сельского поселения Бобровского муниципального района Воронежской области"
(Зарегистрирован 24.12.2025 № 1655)
Номер опубликования: 3601202512290012
Дата опубликования: 29.12.2025
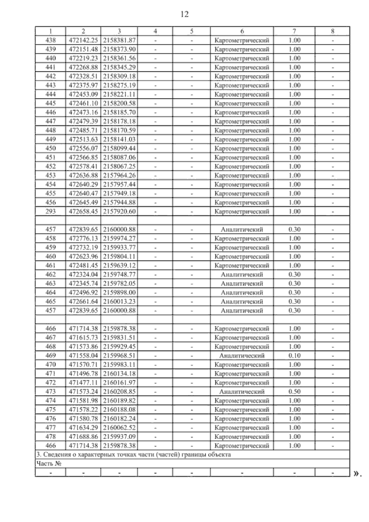
Страница №20 из 24:
Увеличить