Официальное опубликование правовых актов
ОФИЦИАЛЬНОЕ ОПУБЛИКОВАНИЕ
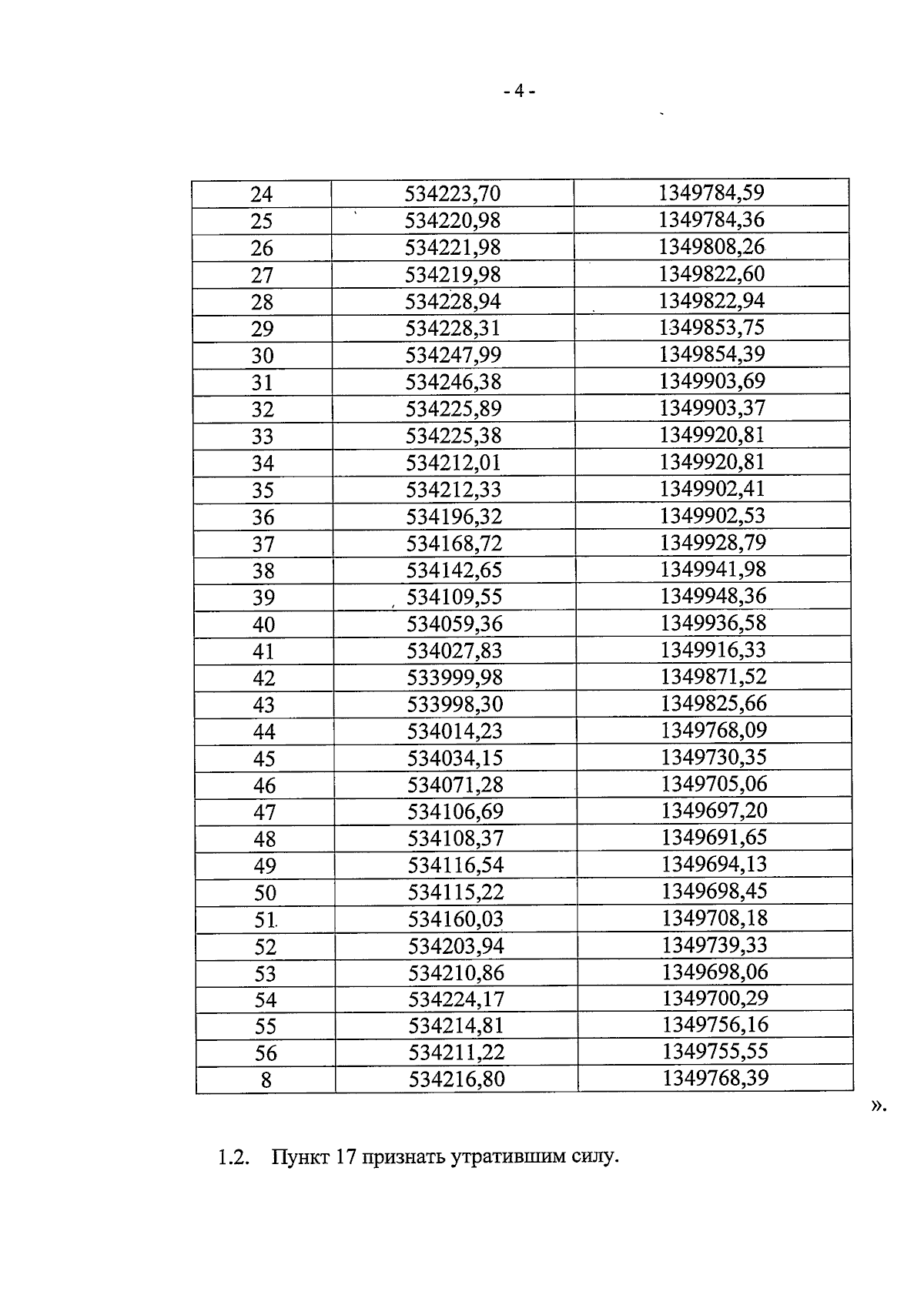
Приказ управления по охране объектов культурного наследия Воронежской области от 16.12.2025 № 71-01-05/209
"О внесении изменений в приказ управления по охране объектов культурного наследия Воронежской области от 10.09.2019 № 71-01-07/218"
(Зарегистрирован 16.01.2026 № 2058)
Номер опубликования: 3601202601190004
Дата опубликования: 19.01.2026
Страница №4 из 5:
Увеличить