Официальное опубликование правовых актов
ОФИЦИАЛЬНОЕ ОПУБЛИКОВАНИЕ
Приказ министерства архитектуры и градостроительства Воронежской области от 16.12.2025 № 45-01-04/605
"О внесении изменений в правила землепользования и застройки Залиманского сельского поселения Богучарского муниципального района Воронежской области"
(Зарегистрирован 15.01.2026 № 2052)
Номер опубликования: 3601202601210002
Дата опубликования: 21.01.2026
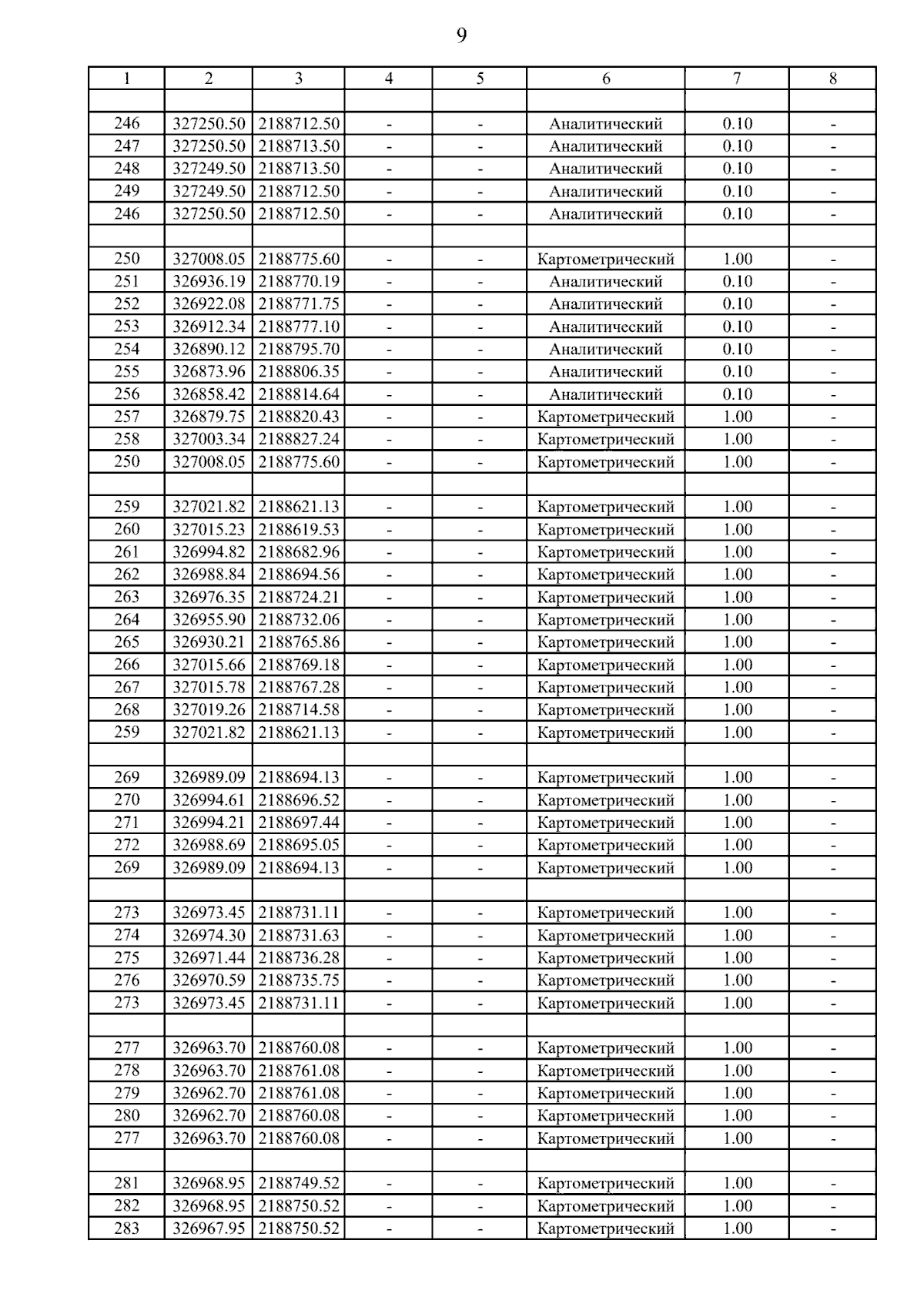
Страница №23 из 53:
Увеличить