Официальное опубликование правовых актов
ОФИЦИАЛЬНОЕ ОПУБЛИКОВАНИЕ
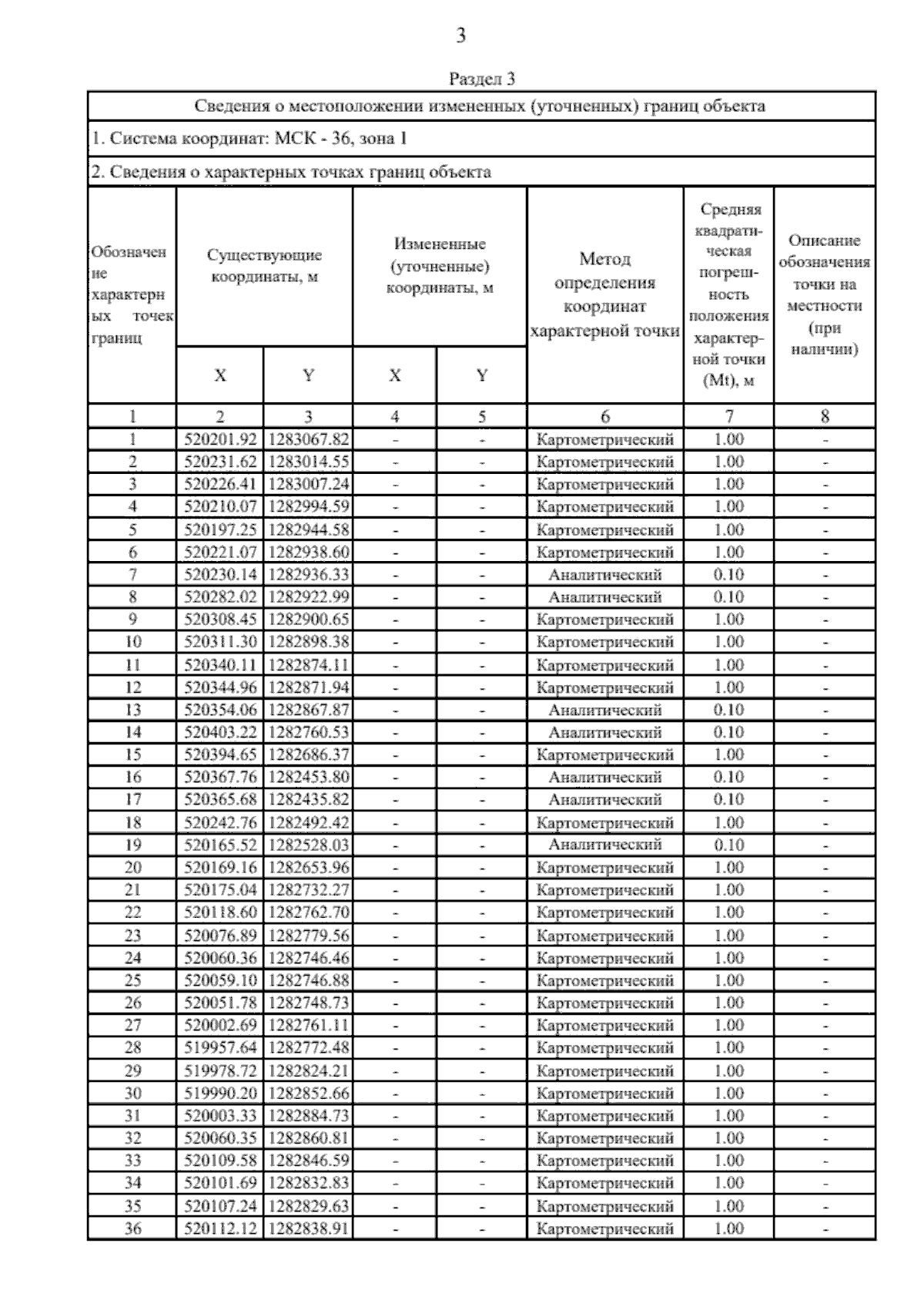
Приказ министерства архитектуры и градостроительства Воронежской области от 03.12.2025 № 45-01-04/567
"О внесении изменений в правила землепользования и застройки Семилукского сельского поселения Семилукского муниципального района Воронежской области"
(Зарегистрирован 20.01.2026 № 2067)
Номер опубликования: 3601202601220002
Дата опубликования: 22.01.2026
Страница №26 из 81:
Увеличить