Официальное опубликование правовых актов
ОФИЦИАЛЬНОЕ ОПУБЛИКОВАНИЕ
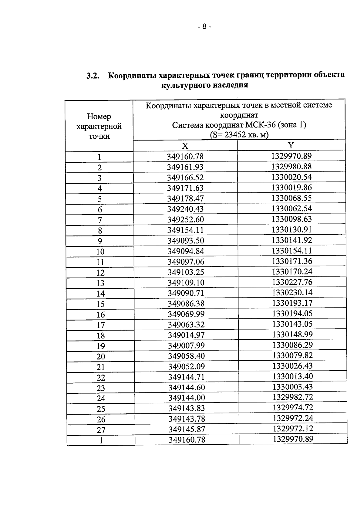
Приказ управления по охране объектов культурного наследия Воронежской области от 16.01.2026 № 71-01-05/2
"Об утверждении границ территорий объектов культурного наследия регионального значения, расположенных на территории Россошанского муниципального района Воронежской области"
(Зарегистрирован 02.02.2026 № 27)
Номер опубликования: 3601202602030002
Дата опубликования: 03.02.2026
Страница №8 из 28:
Увеличить