Официальное опубликование правовых актов
ОФИЦИАЛЬНОЕ ОПУБЛИКОВАНИЕ
Приказ министерства архитектуры и градостроительства Воронежской области от 14.01.2026 № 45-01-04/7
"О внесении изменений в правила землепользования и застройки Старохворостанского сельского поселения Лискинского муниципального района Воронежской области"
(Зарегистрирован 02.02.2026 № 17)
Номер опубликования: 3601202602030008
Дата опубликования: 03.02.2026
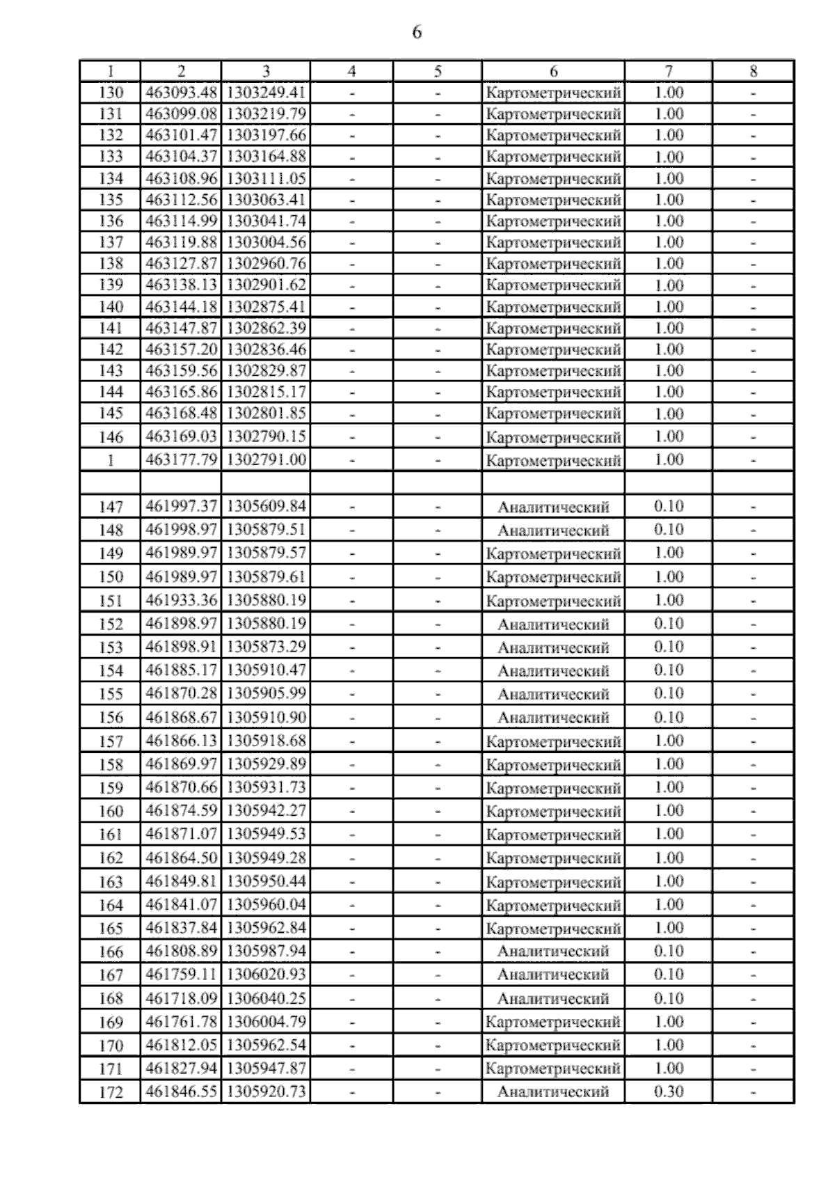
Страница №32 из 83:
Увеличить