Официальное опубликование правовых актов
ОФИЦИАЛЬНОЕ ОПУБЛИКОВАНИЕ
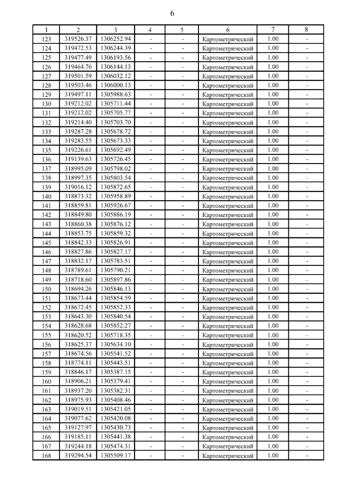
Приказ министерства архитектуры и градостроительства Воронежской области от 13.01.2026 № 45-01-04/2
"О внесении изменений в правила землепользования и застройки Кривоносовского сельского поселения Россошанского муниципального района Воронежской области"
(Зарегистрирован 02.02.2026 № 12)
Номер опубликования: 3601202602030009
Дата опубликования: 03.02.2026
Страница №12 из 34:
Увеличить