Официальное опубликование правовых актов
ОФИЦИАЛЬНОЕ ОПУБЛИКОВАНИЕ
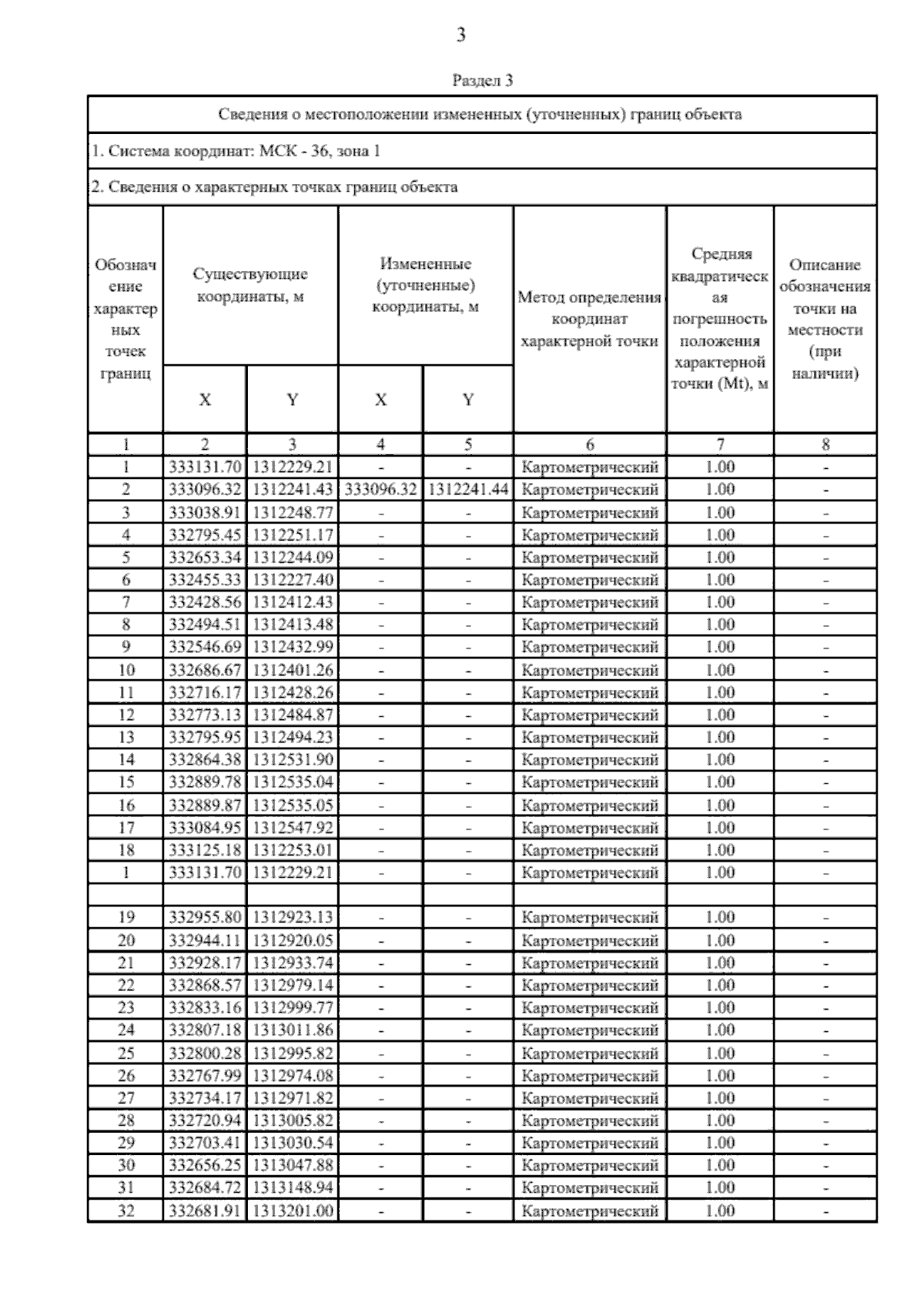
Приказ министерства архитектуры и градостроительства Воронежской области от 14.01.2026 № 45-01-04/9
"О внесении изменений в правила землепользования и застройки Шекаловского сельского поселения Россошанского муниципального района Воронежской области"
(Зарегистрирован 04.02.2026 № 44)
Номер опубликования: 3601202602050002
Дата опубликования: 05.02.2026
Страница №9 из 10:
Увеличить