Официальное опубликование правовых актов
ОФИЦИАЛЬНОЕ ОПУБЛИКОВАНИЕ
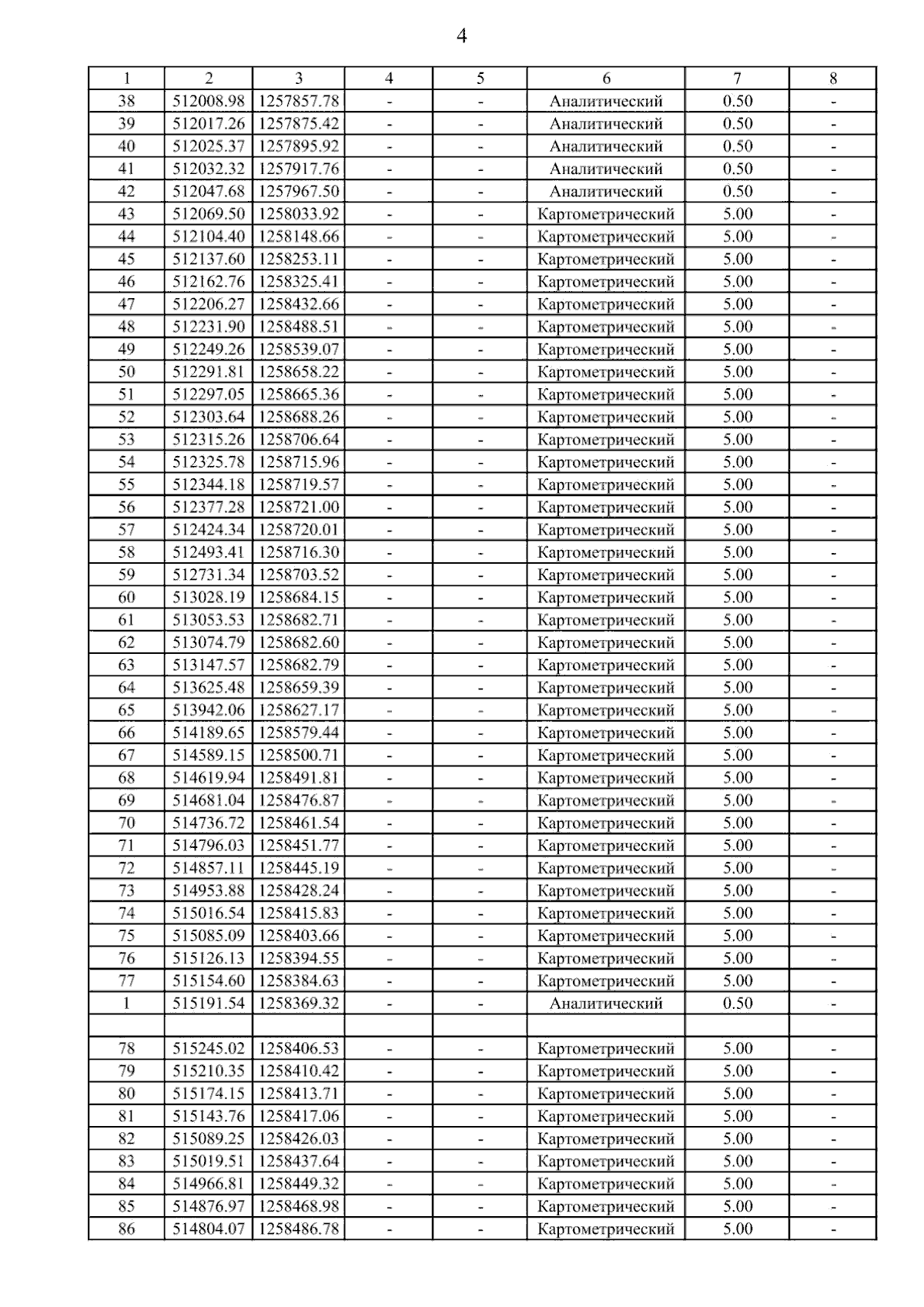
Приказ министерства архитектуры и градостроительства Воронежской области от 05.02.2026 № 45-01-04/32
"О внесении изменений в правила землепользования и застройки Нижневедугского сельского поселения Семилукского муниципального района Воронежской области"
(Зарегистрирован 26.02.2026 № 141)
Номер опубликования: 3601202602270002
Дата опубликования: 27.02.2026
Страница №238 из 241:
Увеличить