Официальное опубликование правовых актов
ОФИЦИАЛЬНОЕ ОПУБЛИКОВАНИЕ
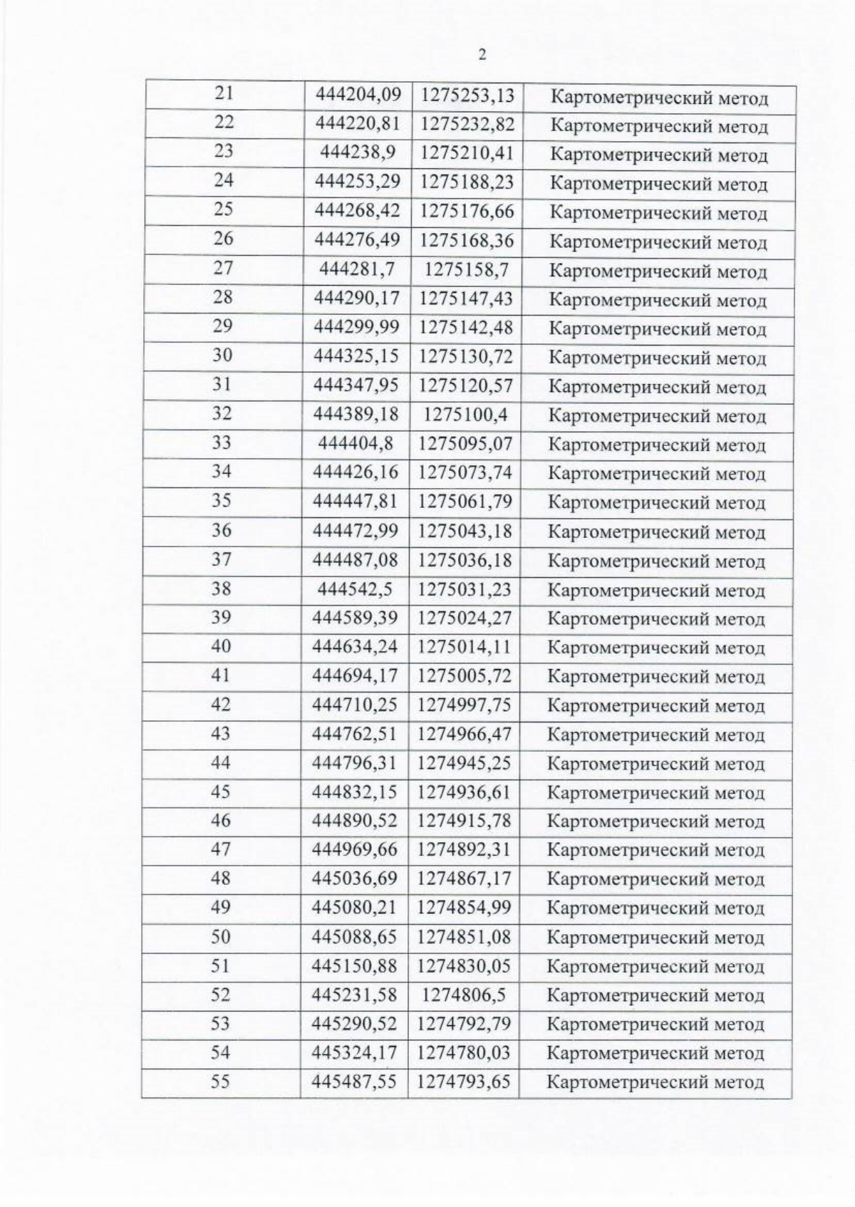
Приказ министерства природных ресурсов и экологии Воронежской области от 05.02.2026 № 55
"Об утверждении описания местоположения береговых линий (границ водного объекта) реки Ланин на территории Репьевского муниципального района Воронежской области"
(Зарегистрирован 26.02.2026 № 143)
Номер опубликования: 3601202603020006
Дата опубликования: 02.03.2026
Страница №4 из 105:
Увеличить