Официальное опубликование правовых актов
ОФИЦИАЛЬНОЕ ОПУБЛИКОВАНИЕ
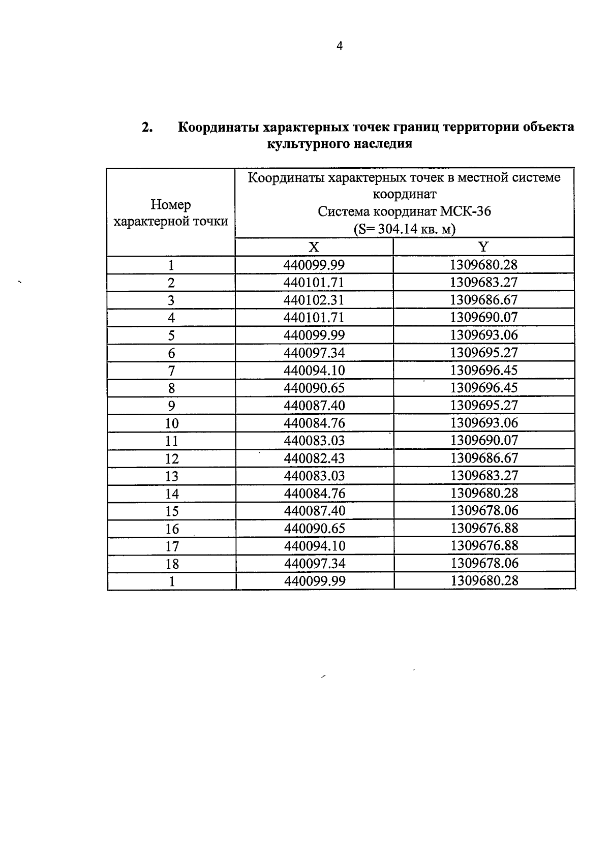
Приказ управления по охране объектов культурного наследия Воронежской области от 24.02.2026 № 71-01-05/28
"О включении выявленного объекта культурного наследия в единый государственный реестр объектов культурного наследия (памятников истории и культуры) народов Российской Федерации в качестве объекта культурного наследия регионального значения "Братская могила № 322"
(Зарегистрирован 11.03.2026 № 200)
Номер опубликования: 3601202603130011
Дата опубликования: 13.03.2026
Страница №4 из 4:
Увеличить