Официальное опубликование правовых актов
ОФИЦИАЛЬНОЕ ОПУБЛИКОВАНИЕ
Приказ министерства природных ресурсов и экологии Воронежской области от 18.02.2026 № 98
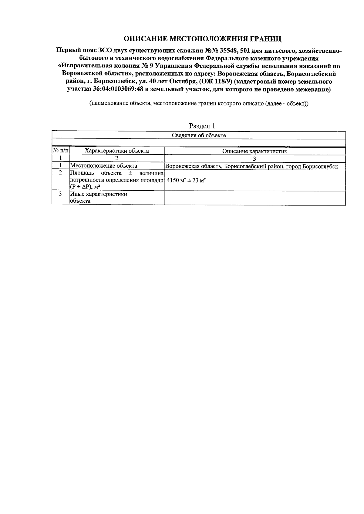
"Об установлении зон санитарной охраны двух существующих скважин №№ 35548, 501 для питьевого, хозяйственно-бытового и технического водоснабжения Федерального казенного учреждения "Исправительная колония № 9 Управления Федеральной службы исполнения наказаний по Воронежской области"
(Зарегистрирован 11.03.2026 № 192)
Номер опубликования: 3601202603160001
Дата опубликования: 16.03.2026
Страница №8 из 18:
Увеличить