Официальное опубликование правовых актов
ОФИЦИАЛЬНОЕ ОПУБЛИКОВАНИЕ
Приказ министерства природных ресурсов и экологии Воронежской области от 16.02.2026 № 89
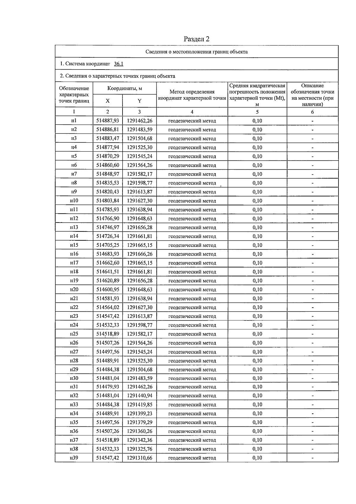
"Об установлении зон санитарной охраны водозабора, состоящего из одной существующей скважины № 1 для питьевого, хозяйственно-бытового и технологического водоснабжения промплощадки ИП Башкин Виктор Наумович"
(Зарегистрирован 11.03.2026 № 190)
Номер опубликования: 3601202603160002
Дата опубликования: 16.03.2026
Страница №16 из 18:
Увеличить