Официальное опубликование правовых актов
ОФИЦИАЛЬНОЕ ОПУБЛИКОВАНИЕ
Приказ министерства природных ресурсов и экологии Воронежской области от 16.02.2026 № 88
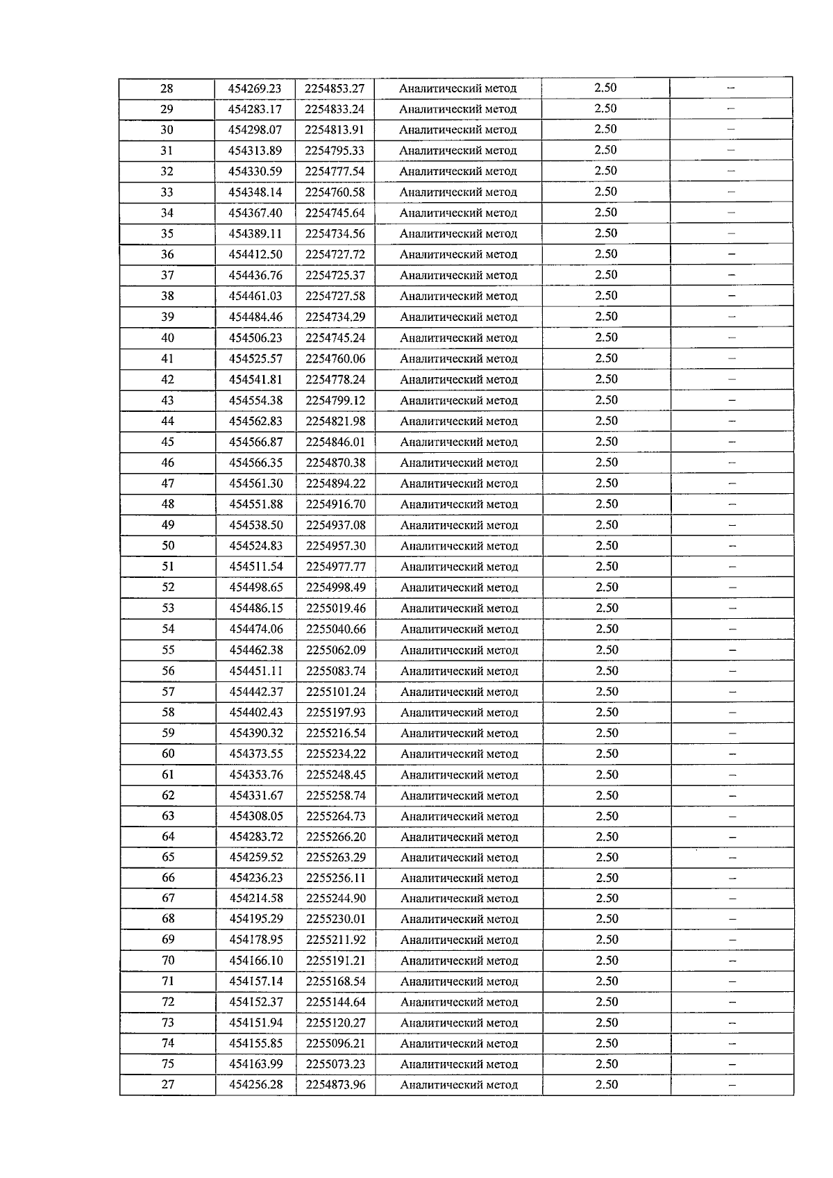
"Об установлении зон санитарной охраны существующих водозаборов свиноводческого комплекса Краснянский ООО "АПК АГРОЭКО" для питьевого, хозяйственно-бытового водоснабжения на площадках ВЗУ-1 (зона Воспроизводства), ВЗУ-2 (зона Откорм 1), ВЗУ-3 (зона Откорм 2)"
(Зарегистрирован 11.03.2026 № 189)
Номер опубликования: 3601202603160004
Дата опубликования: 16.03.2026
Страница №17 из 23:
Увеличить