Официальное опубликование правовых актов
ОФИЦИАЛЬНОЕ ОПУБЛИКОВАНИЕ
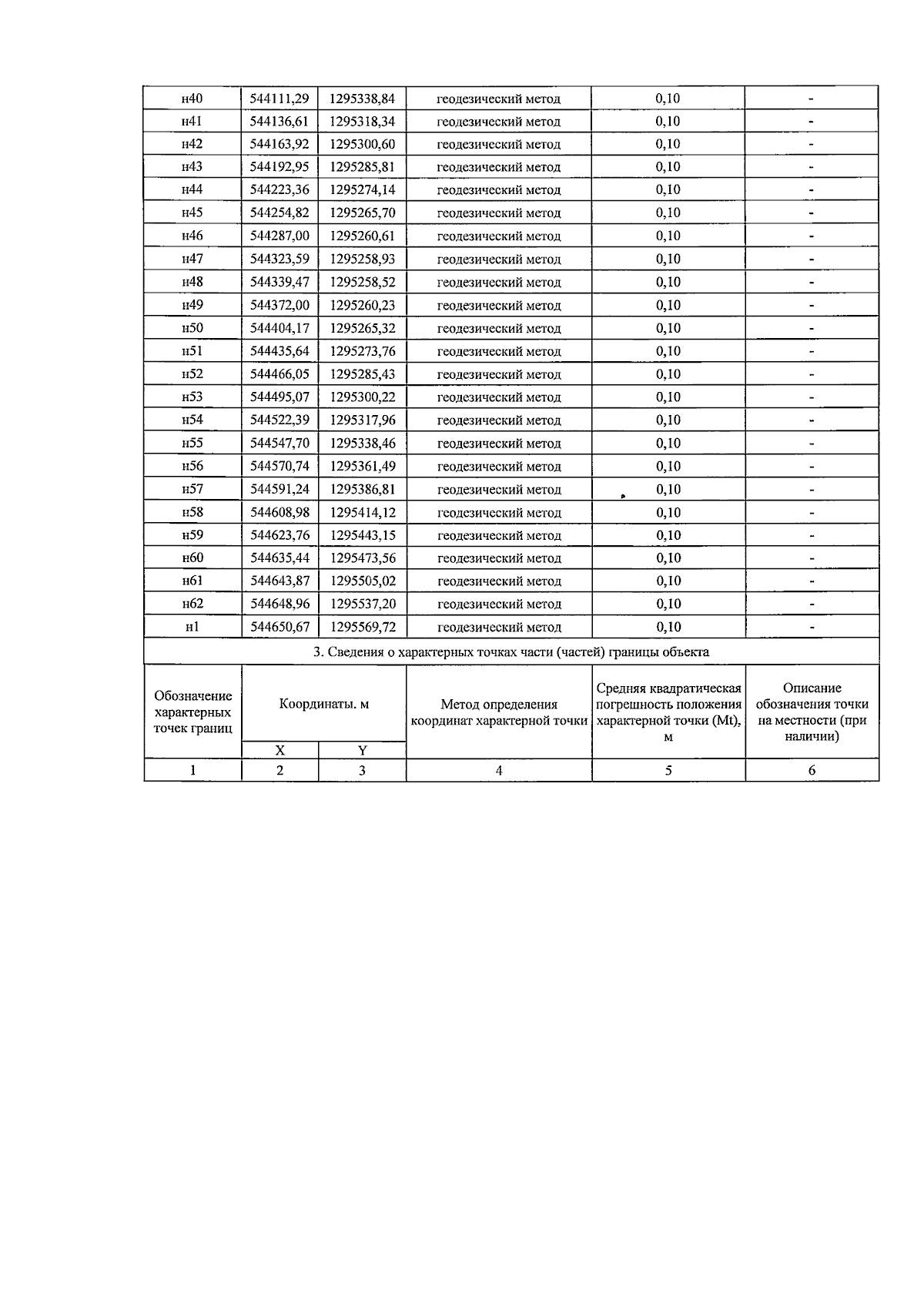
Приказ министерства природных ресурсов и экологии Воронежской области от 17.02.2026 № 90
"Об установлении зон санитарной охраны двух существующих водозаборных скважин №№ 1/10, 2/10 для обеспечения питьевых, хозяйственно-бытовых и технологических нужд ООО "КОЛОР КОНСТРАКШН"
(Зарегистрирован 11.03.2026 № 191)
Номер опубликования: 3601202603160005
Дата опубликования: 16.03.2026
Страница №17 из 18:
Увеличить