Официальное опубликование правовых актов
ОФИЦИАЛЬНОЕ ОПУБЛИКОВАНИЕ
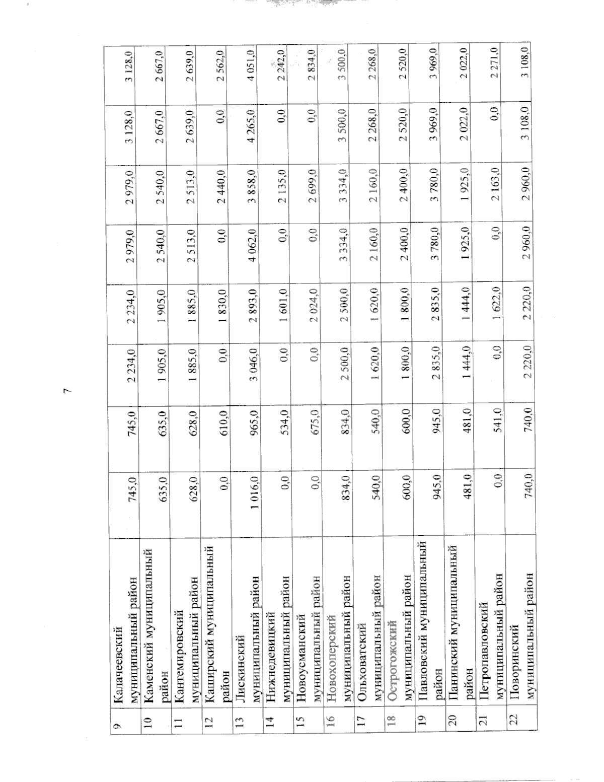
Приказ министерства образования Воронежской области от 26.02.2026 № 196
"Об установлении максимального размера платы, взимаемой с родителей (законных представителей) за присмотр и уход за детьми в государственных и муниципальных образовательных организациях, реализующих образовательную программу дошкольного образования, для каждого муниципального образования на 2026 год"
(Зарегистрирован 17.03.2026 № 240)
Номер опубликования: 3601202603190011
Дата опубликования: 19.03.2026
Страница №9 из 10:
Увеличить