Официальное опубликование правовых актов
ОФИЦИАЛЬНОЕ ОПУБЛИКОВАНИЕ
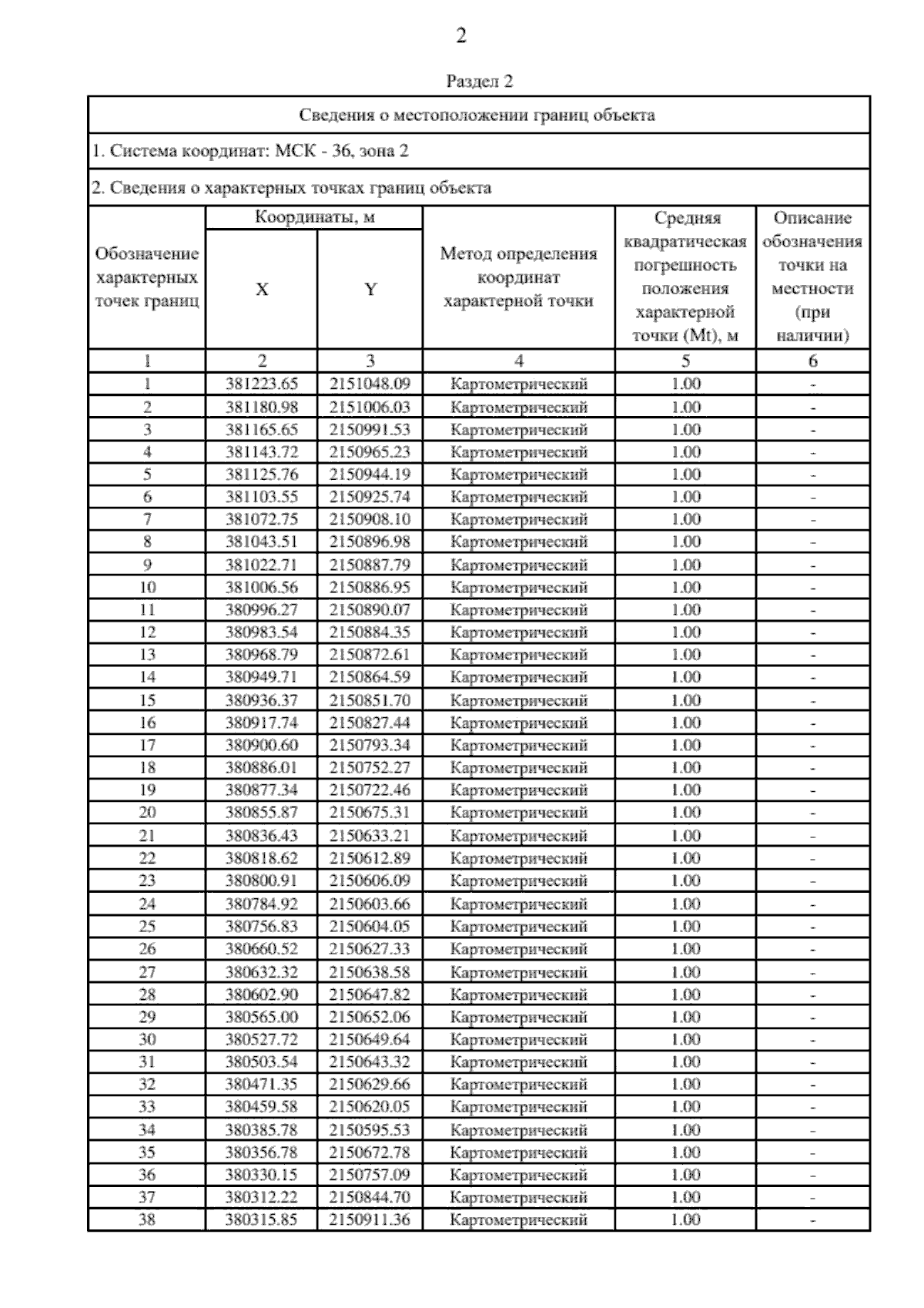
Приказ министерства архитектуры и градостроительства Воронежской области от 16.02.2026 № 45-01-04/75
"О внесении изменений в правила землепользования и застройки городского поселения - город Павловск Павловского муниципального района Воронежской области"
(Зарегистрирован 11.03.2026 № 211)
Номер опубликования: 3601202603190017
Дата опубликования: 19.03.2026
Страница №211 из 221:
Увеличить