Официальное опубликование правовых актов
ОФИЦИАЛЬНОЕ ОПУБЛИКОВАНИЕ
Приказ министерства архитектуры и градостроительства Воронежской области от 24.02.2026 № 45-01-04/90
"О внесении изменений в правила землепользования и застройки Луговского сельского поселения Богучарского муниципального района Воронежской области"
(Зарегистрирован 17.03.2026 № 245)
Номер опубликования: 3601202603200003
Дата опубликования: 20.03.2026
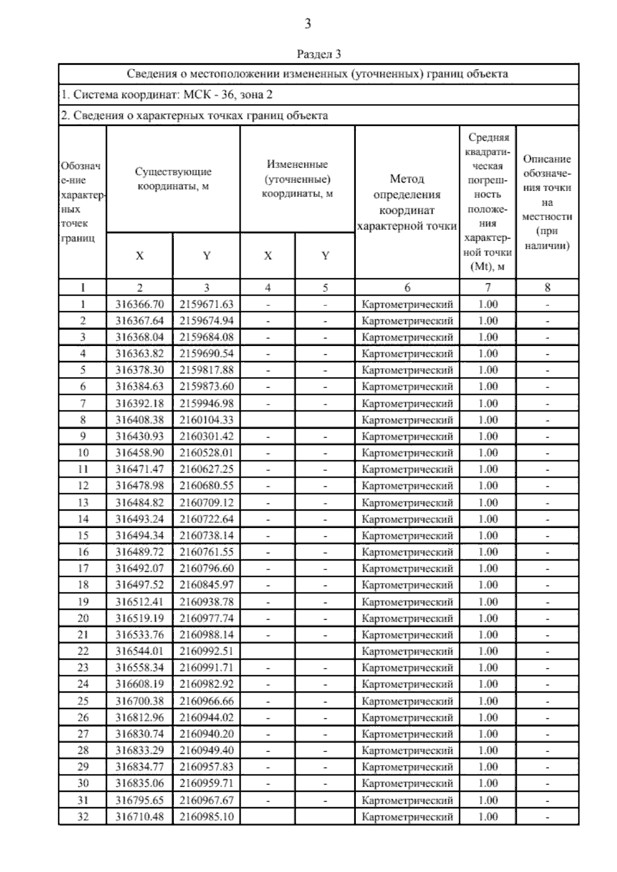
Страница №9 из 23:
Увеличить