Официальное опубликование правовых актов
ОФИЦИАЛЬНОЕ ОПУБЛИКОВАНИЕ
Приказ министерства архитектуры и градостроительства Воронежской области от 26.02.2026 № 45-01-04/97
"О внесении изменений в правила землепользования и застройки Липовского сельского поселения Бобровского муниципального района Воронежской области"
(Зарегистрирован 18.03.2026 № 258)
Номер опубликования: 3601202603200004
Дата опубликования: 20.03.2026
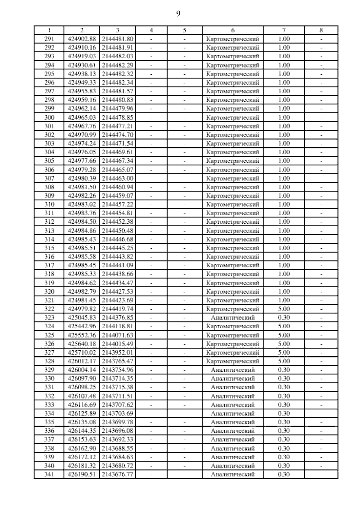
Страница №24 из 26:
Увеличить