Официальное опубликование правовых актов
ОФИЦИАЛЬНОЕ ОПУБЛИКОВАНИЕ
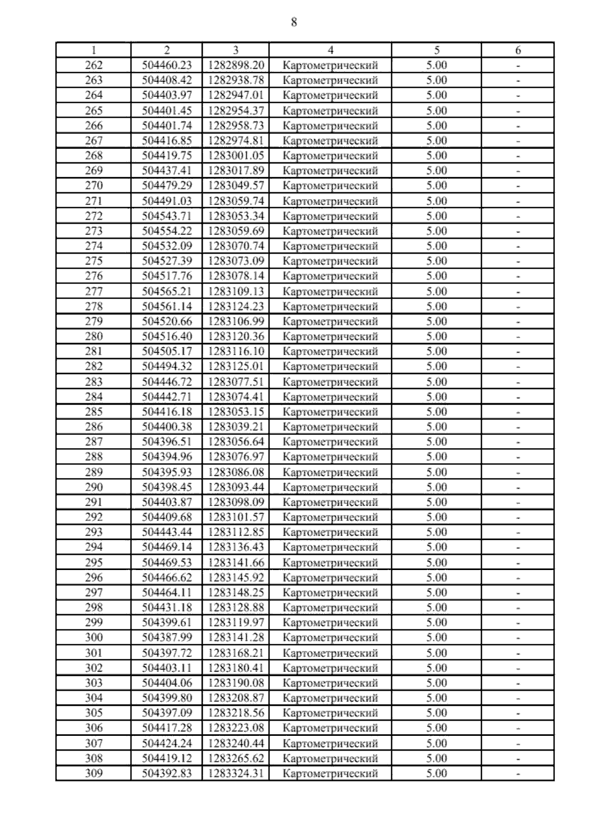
Приказ министерства архитектуры и градостроительства Воронежской области от 24.02.2026 № 45-01-04/92
"О внесении изменений в правила землепользования и застройки Петинского сельского поселения Хохольского муниципального района Воронежской области"
(Зарегистрирован 17.03.2026 № 247)
Номер опубликования: 3601202603200005
Дата опубликования: 20.03.2026
Страница №170 из 178:
Увеличить