Официальное опубликование правовых актов
ОФИЦИАЛЬНОЕ ОПУБЛИКОВАНИЕ
Приказ министерства архитектуры и градостроительства Воронежской области от 24.02.2026 № 45-01-04/91
"О внесении изменений в правила землепользования и застройки Козловского сельского поселения Терновского муниципального района Воронежской области"
(Зарегистрирован 17.03.2026 № 246)
Номер опубликования: 3601202603200006
Дата опубликования: 20.03.2026
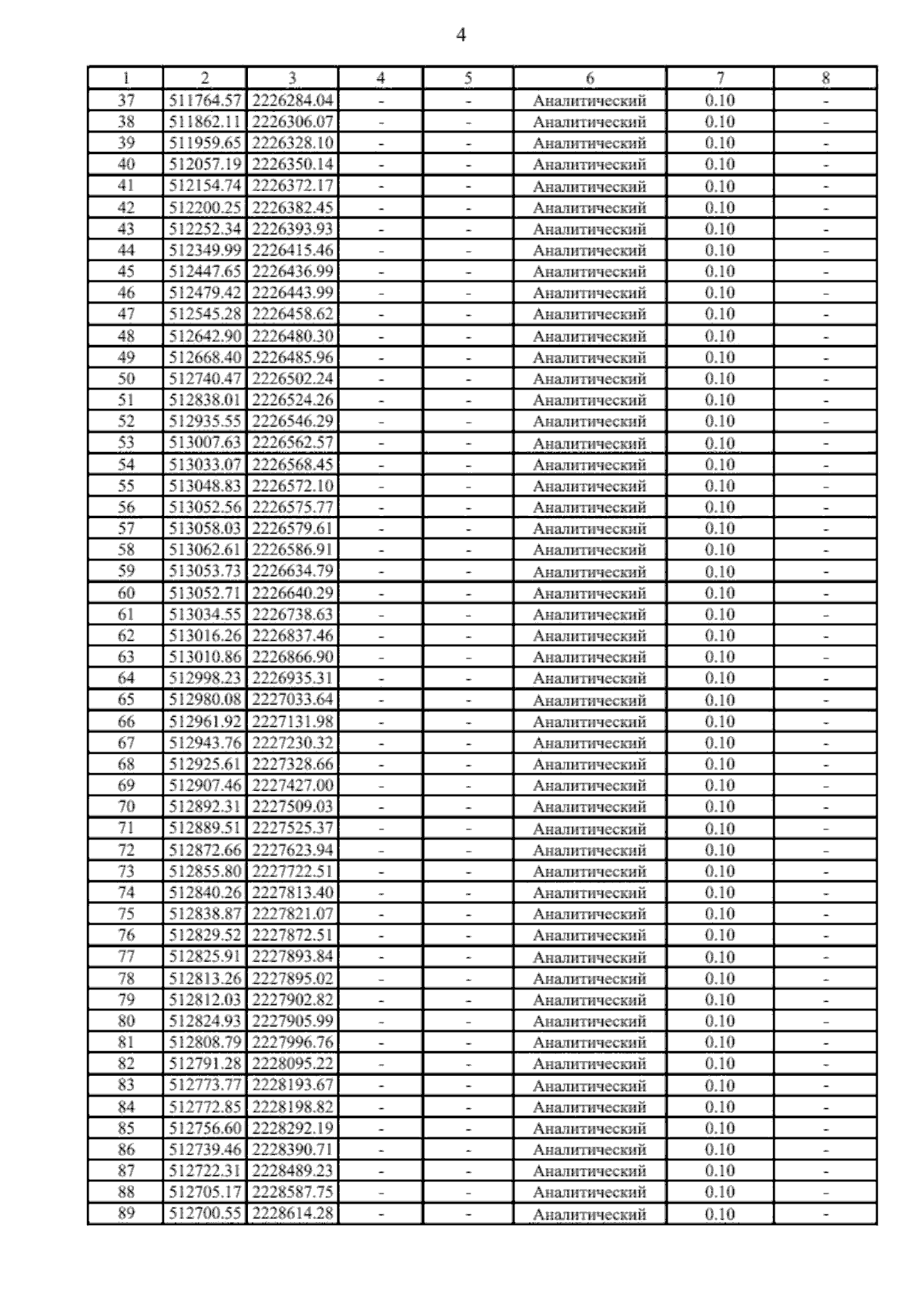
Страница №55 из 64:
Увеличить